人的一生难免会遇到很多尴尬的时候……
比如,上厕所没有纸了

其实这种欲哭无泪的情况还有很多,什么排队的时候我在哪条队伍哪条队伍就更慢,在电梯里突然肚子告急想要来一个忍无可忍的屁……今天我们就来聊一聊厕所里这件避无可避的尴尬的事情……

厕 纸
Toilet Paper
提起厕所,我们离不开厕纸。厕纸的制造过程其实很普通的纸张并没有太大的区别,但是因为用途不同,厕纸以及其他纸巾被设计地极其薄而且极其地脆弱,从而提供人们日常擦拭皮肤 擦屁股 以及清洁物品表面等用途。

日本奈良时代的厕筹,旁边是用来对比大小的现代厕纸
在古代,纸还不那么地普及,只能用来书写的时候,人们普遍用可以重复使用的东西来清理自己的屁屁,比如我们熟悉的厕筹,还有动物毛皮,布手等东西。但是随着时代变迁,纸越来越普及。我们熟悉的刘姥姥在大观园突然觉得要拉肚子,都是「忙的拉着一个小丫头,要了两张纸」。

卷纸的制造过程其一
现在,人们一般认为是盖耶提(Joseph C. Gayetty)发明了现代意义上的商品化的卫生纸。1850 年代是家庭清洁的黄金十年,洗碗机和洗衣机都在这段时期问世,但这两项发明都不如商品化的卫生纸那么具革命性。在此之前的美国人一般都用玉米壳以及从报纸、杂志和型录(汇集了商品信息的册子)上撕下来的纸,既好用又没花多少钱。美国一些型录出版商甚至开始在角落打个洞,像是默认他们的产品注定会挂在茅坑,当卫生纸用。

卷纸的制造过程其二
一般我们用湿韧强度代表纸张在完全润湿状态下的韧性指标。面巾纸一般要求具有湿韧性,毕竟不能一擦脸上的水,纸全变成渣渣糊在脸上了。而厕用卫生纸一般不允许具有湿韧性,就是为了防止在使用后纸张不易分解而堵塞卫生化粪池。丢入马桶很快就能分解掉。如果你家厕所因为你扔进去纸 而不是拉得太多 而堵了,那说明:你用错纸了。

两种不同的纸巾,在被水浸泡后表现地不尽相同
纸巾纸的国家标准是 GB/T20808-2011,其中卫生标准是 GB15979,而卫生纸的标准是 GB/T20810-2006。一般包装反面会有标准号,可以通过这个辨别。你也可以自己做实验,把纸巾丢到清水中,看是否会变成渣渣来辨认。
包租婆,厕所又没纸啦!
Warning! No Toilet Paper!!!
为了避免厕所没纸的尴尬,在装修家里的卫生间时,我们可以安装一个厕所双纸巾架。大多数家庭厕所只有一个独立的纸巾架。不管怎么说,只有一卷纸巾实在是没啥安全感,万一前面一个人用的纸巾多了一点,而又来不及换下一卷纸巾的时候,就只能面对无纸可用的窘境。很多人有一个好习惯,在看到纸巾快要用完的时候,会在马桶水箱上放一个新的。但是既然如此,我们为啥不做一个可以放两卷纸的支架呢?

一个纸巾架真的毫无安全感,因为你根本想不到会因为什么原因上厕所没纸……
不过目前多了一卷纸并没有彻底解决无纸可用的问题。万一两卷纸都在同一时间用完了,怎么办?虽然纸巾清空比起之前多了一倍的时间,但是我们还是遇到同样的问题:包租婆,厕所又没纸啦!在厕所拥有两卷纸巾以后,我们的问题其实变得复杂了一些,选择哪卷卫生纸作为我们的「擦屁屁纸」,成为了整个问题的关键。
经过一段不长的思考和实践以后,我们可以使用三种不同的「擦屁屁纸选择算法」:大策略,小策略以及随机策略。
大策略:始终从最大的卷中取纸(如果一样大,就选近的那个)
小策略:始终从最小的卷中取纸(如果一样大,就选近的那个)
随机策略:放弃思考,随机选择、
不知道你平时是哪一种策略呢?

随机策略是最自然的,但是如果我们的选择真的是随机的话,我们会平等地选择两个卷,所以它们会被几乎同时地清空……所以为了后来进入厕所的人,也为了我们自己,我们不能草率地做出用哪一卷纸的决定。
如果我们使用大策略,假设我们有 A 和 B 两个卷,但是 A 更大一点,那么这种情况下,我们会先用大的那一卷 A,直到 A 和 B 两个卷一样大。所以 A 和 B 两个卷几乎是匀速地减少,也就是……我们仍然没有办法摆脱两卷纸同时被用完的宿命……
小策略实际上才是最为正确的选择。因为我们始终使用较小的那个卷,因为它会越来越小,直到耗尽,然后我们再切换到另外一个全新的卷纸。这样的好处不言而喻,在一卷纸用完以后,另一卷纸还剩足够长,给人们留下了充足的更换另一卷纸的时间。
建个模型吧
Modeling
虽然经过我们的证明,小策略是一个很完美的避免大家进入厕所以后无纸可用的尴尬策略,但是现实往往很残酷,并不是所有人都意识到了这一点。有的人仍然会选择大的那个,有的人仍然会随机地选择自己用哪卷纸。

模型很丰满,现实很骨感
为了一般化上面的情况,我们可以定义在所有进入厕所中的人中会有 q 的概率选择小策略,而会有 p 概率的人选择大策略。当然,p + q = 1。对于随机选择的人,其实就对应上面模型中的 q = 1 / 2。
怎么来衡量用纸尴尬情况发生的可能性呢?令 Mn(p)为两个长度均为 n 的卷纸在一个卷纸用完以后,另一个卷纸的长度的数学期望。如果这个 M 越大,就意味着越安全,留给我们换一卷新的纸的时间也就越多。如果这个 M 越小……我们就只能自求多福不要遇到这种尴尬的情况了……

高德纳(Donald Ervin Knuth)教授为现代计算机科学的先驱人物,创造了算法分析的领域,在数个理论计算机科学的分支做出基石一般的贡献。在计算机科学及数学领域发表了多部具广泛影响的论文和著作。1974年图灵奖得主。
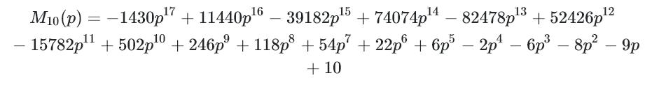
这个这么关系到大家生活幸福程度的事情,怎么可能没有科学家关注过呢?在 1984 年,高德纳(Donald Ervin Knuth)教授就研究过 Mn(p) 的具体表达式,以及其一些性质。我们可以通过一些简单的情况来熟悉分析的方法。
假设卷纸只有 1 格。那么不管用什么策略,我们都会用掉一格纸,所以 M1(p) = 1。
假设卷纸只有 2 格。我们用 (2, 2) 表示目前卷纸的状态,那么和前面类似,不管用什么策略,我们都会用掉一格纸,所以这时变成了 (2, 1)。接下来我们有 q 的概率变成 (2, 0),然后 p 的概率变成 (1, 1)。所以最终剩余长度的数学期望为 M2(p) = 2 * q + p = 2 - p。

当 n = 10 时候的表达式,虽然看上去很复杂,但是分析方法和上面其实是一致的
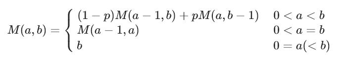
一般的情况我们可以用下面的公式表示这种卷纸状态(也就是前面的长度对)的变化情况。当然,卷纸状态和 M 的值是一一对应的。

如果两个长度不同,用不同的概率变成两种不同的状态。如果两个长度相同,那么就选一个长度减 1。如果一个已经变成了 0,那么剩余长度就是我们数对中另一个数。
在 Knuth 的论文中,他讨论了在一般的情形下,一个卷纸空了以后另一个卷纸最后剩余长度的数学期望是多少。在一个并没有什么约定的社会中,大家如果随便选用一个卷纸,假设卷纸总长度为 n,那么最后一卷的剩余长度会在 n 的平方根量级上。更为具体的表达式为

以常见的某国产品牌卷纸为例,一卷全新的卷纸长度为 240 格。在随机策略之下,在一卷纸用完以后,另一卷纸将会平均只剩下 17.5 格。这实在是一个很不妙的信号……

某国产著名纸巾品牌的天猫页面
如果我们模拟一下 100 格的卫生巾在不同的大策略使用者概率情况下的剩余长度,我们会发现,随着小策略的人数比重的增加,一卷纸用完以后,另一卷纸的长度会快速地增加。

横轴为选择大策略的概率,纵轴为剩余长度
需要关注的是,在上面模型的讨论中我们实际上是假定了每个人一次用一格纸。
结 论
Conclusion
说了这么多,其实如何避免厕所无纸可用是一个需要大家共同努力的事情,总结起来其实就是……
卷纸千万条,策略第一条,
选大不选小,别人两行泪。
“ 转发这个好习惯,就能造福你我他 ”
* 封面图来自 pixabay
参考文献:
[1] Donald E. Knuth. The American Mathematical Monthly. Vol. 91, No. 8 (Oct., 1984), pp. 465-470
[2] Toilet Paper - Wikipedia
[3] 关于厕纸你不可不知的 36 件事
[4] How does the author find Mn(p) in the Toilet Paper Problem
[5] 发明厕纸前,古人用什么擦屁股?
[6] 为什么国外人大多将厕纸丢进马桶,而中国人不习惯这样?
[7] Toilet Paper Algorithms: I didn't know you had to be a computer scientist to use toilet paper.
[8] RV Toilet Paper Test
编辑:Cloudiiink
近期热门文章Top10
↓ 点击标题即可查看 ↓
1. 大龄单身狗返乡过年期间瞬时压力激增现象及其应对措施研究
2. 12个革命性的公式
3. 最小有多小?最大有多大?
4. 一幅图读懂量子力学(大神的战争)
5. WiFi穿墙完全指南
6. 为什么你吃的食物跟广告上的永远不一样?
7. 你知道爱因斯坦人生中发表的第一篇论文是什么吗?
8. 出生在显赫世家是怎样的体验?
9. 理论物理学家费纸,实验物理学家费电,理论实验物理学家费?
10. 这些东西,看过的人都转疯了!