
RDN了解一下!
室速/室颤是一种危及生命的恶性心律失常,目前抗心律失常药物、心脏导管消融术及植入式心脏转复除颤器(ICD)是治疗室速/室颤的“三驾马车”,但是部分患者即使接受上述规范的干预,仍有频繁的室速/室颤再发,是临床上治疗的难点。
在本次ESC 2020上,来自德国汉堡的Dominic Norman Millenaar教授分享了自己通过超声能量去肾交感神经术(RDN)治疗复发性室性心律失常的经验[1],而这也是历史上应用这一术式治疗人类室性心律失常的首次尝试。

该研究共纳入了4例既往接受过心内膜/心外膜导管消融术和治疗2种抗心律失常药物治疗后仍有反复室速/室颤发作的难治性患者,平均年龄65±10岁,均为男性心衰患者,左室射血分数(LVEF)平均为36%±7%,左室整体纵向应变率平均为-10%±3%,其中1例为缺血性心肌病,另外3例为非缺血性心肌病。
所有患者在术前行肾动脉CT造影。具体术式为采用超声导管分别在双侧肾动脉主干的至少2个位点行肾动脉交感神经消融术。并在RDN术前、术后1天及术后30天分别行肾动脉超声、动态血压监测(ABPM)及ICD询问等检查。
该研究平均随访时间为113±12天,结果显示,所有患者均成功完成超声消融治疗,未见操作相关并发症。
ICD程控发现室速/室颤负荷有所下降,包括需要抗心动过速起搏(ATP)治疗的VT/VF事件从术前3个月内平均3次(1.5-54.5)减少到术后3个月内平均1次(0.75-1),而需要放电(shock)的VT/VF事件从术前3个月内平均0.5次(0-1.25)减少至术后3个月内的0次。
此外在随访期间肾动脉超声未见肾动脉狭窄,动态血压无明显变化:24小时平均血压术前为94±8/65±9 mmHg,术后3个月为92±1/62±6 mmHg,而LVEF术后均为36%±7%,左室整体纵向应变率术后为-9%±4%,与术前均无显著性差异。
因此,该研究认为对于伴有心衰的难治性室性心律失常患者而言,基于超声能量的RDN在不影响血压的同时,还可至少减少术后的3个月内恶性室性心律失常事件负荷,是一种安全可行的治疗方案。
研究启示
室性心律失常是心脏性猝死最常见的病因,交感神经系统的过度激活在室速/室颤的发生和维持中扮演着十分重要的角色,而这也是目前β受体阻滞剂和左心交感神经去除术治疗室性心律失常的机制。
当肾脏传入神经兴奋时, 全身交感神经张力会明显增强,而切断肾脏传入神经纤维后, 全身交感神经张力降低(图2),而这也是RDN治疗室性心律失常的主要理论基础之一。

图2:肾交感神经参与室性心律失常的可能机制
目前已有个案或小样本研究证实了RDN在治疗室性心律失常中的可行性。其中规模相对较大的是2015年JACC上发表的一项回顾性研究[2],该研究纳入了10例难治性室速患者,随访6个月,发现RDN术后80%患者的室速/室颤负荷均有显著性下降(图2)。

图2:RDN对室速的治疗效果
既往RDN多是采用射频能量,然而射频能量消融存在消融效率较低、消融时疼痛明显以及完成治疗过程受患者血管类型影响等缺点。
而超声作为一种频率高于听阈的机械波,在生物组织中以纵波传播,其携带的机械能可使介质中的分子剧烈震荡产生机械摩擦、空化和热效应等,同样可用于RDN,并且与射频能量消融相比在安全性和有效性等方面具有诸多优势。
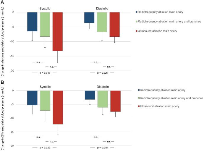
而2019年CIRCLUATION上发表的RADIOSOUND-HTN研究[3]就证实,超声能量的RDN降压效果要优于射频能量的RDN(图3)。

图3:基于不同能量的RDN对高血压的治疗效果比较
但是基于超声能量的RDN应用于人体的恶性室性心律失常治疗尚无报告,本研究初步探索了这一术式的安全性和可行性,弥补了这一领域的空白,为难治性室性心律失常提供了新的选择,但是未来仍需更多的大规模的临床研究来验证其长期的有效性和安全性。

参考文献:
[1] DN Millenaar, et al. First-in-man experience with ultrasound renal denervation for treatment of recurrent ventricular arrhythmias. ESC congress 2020 the digital experience.
[2] Bing Huang, et al. Effects of Renal Artery Denervation on Ventricular Arrhythmias in a Postinfarct Model. Circ Cardiovasc Interv. 2017 Mar;10(3):e004172.
[3] Fengler K, Rommel KP, Blazek S, et al. A Three-Arm Randomized Trial of Different Renal Denervation Devices and Techniques in Patients With Resistant Hypertension ( RADIOSOUND-HTN) [J]. Circulation, 2019, 139: 590- 600.
本文首发:医学界血汗管频道
本文审核:复旦大学附属中山医院 胡嘉禄
本文作者:人间世
责任编辑:董小雯
版权声明
本文原创 欢迎转发朋友圈
- End -

点个分享,让更多人知道!