时域离散信号
生活中常见的信号为模拟信号,模拟信号等间隔采样得到时域离散信号,时域离散信号便于计算机处理。
一、时域离散信号的三种表示方法
1、集合符号:

2、公式:例


3、图形:例

4、单位脉冲序列的位移加权和:
例:


二、常用典型序列
1、单位脉冲序列

2、单位阶跃信号

3、矩形序列

4、实指数序列

5、正弦序列

6、复指数序列

7、周期序列
注:N为最小整数,其中正弦函数分为三种情况,运用公式求T,1、T为整数,则周期为这个整数;2、T为有理数但是非整数,则其分式中的分子即为周期;3、为无理数,则没有周期。
三、序列的运算
1、加法和乘法:同序号的序列值对应相加和相乘
2、位移、翻转以及尺度变换,见下例图

*序列x(n-n0)中,n0>0称为延时序列,<0称为超前序列。
时域离散系统
在系统当中输入与输出的表示方法为: y(n)=T[x(n)]。时域离散系统当中最常用的是线性时不变系统,因为有些非线性时变系统可以用线性时不变系统近似。线性时不变系统便于分析、设计和实现。

一、线性系统:输入、输出之间满足线性叠加原理
*可加性与齐次性
证明方法:由原系统y(n)=T[x(n)]衍生出另外两个系统:y1(n)=T[x1(n)]、y2(n)=T[x2(n)]。证明y1(n)+ y2(n)是否等于T[x1(n)+ x2(n)],相等则线性。

二、时不变系统:系统的运算关系不随时间变化
证明方法:证明上式成立,主要在第二个式子,从左边往右边计算,以及从右边往左边计算,看两者是否相等。
例:

*上面y(n-n0)一步,是将表达式中的所有n替换,将序列延时。
*T[x(n-n0)]一步,是将系统当中的输入信号全部换掉。
*系统表达式当中,括号内的n或者含有n的式子,其作用都是将输入信号当中的n赋值,
三、线性时不变系统及其输入与输出的关系

1、单位脉冲响应:系统对于的零状态响应

单位脉冲序列位移加权和表示一个序列时,可以在原有公式上加上即:


输入系统后,单位冲激信号通过系统得到单位冲激相应:(中间为叠加性质)

然后通过时不变性质可得
2、计算卷积的方法
图解法:计算步骤如下:
(1)翻褶:先在坐标轴m上画出x(m)和h(m),将h(m)以纵坐标为对称轴折叠成h(-m)。
(2)移位:将h(-m)移位n,得h(n-m)。当n为正数时,右移n;当n为负数时,左移n。
(3)相乘:将h(n-m)和x(m)的对应序列值相乘。
(4)相加:把所有的乘积累加起来,即得y(n)。
解析法:已知两个卷积信号的解析表达式,可以直接按照卷积式计算。

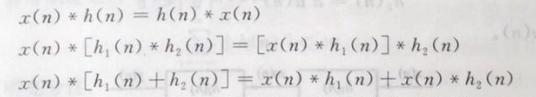
3、线性卷积服从交换律,结合律和分配律。
四、系统的因果性和稳定性
1、因果系统:系统n时刻的输出值取决于n时刻以及n时刻以前的输入
判决方法:
(1) 时域判决:
先将系统函数转换为差分方程,y(n)换成h(n),x(n)换成。系统的冲激响应函数h(t),在t<0的条件下,h(t)=0,则此系统为因果系统;如果系统的单位冲激响应在t>0时,h(t)=0,就说该系统是反因果的。
(2)S域判决:
系统函数的收敛域应该是权s平面上某一收敛轴的右半平面。换句话说,系统函数的极点只能分布在s平面上收敛轴的左半平面。
2、稳定系统:对有界输入,系统产生的输出也是有界的
判决方法:运用公式证单位冲激响应绝对值求和是有限的
*注:以上时域判决和稳定性的公式判决法,仅满足于线性时不变系统。
*若差分方程在不好求解时去分析它的线性与时不变性,则可以直接求出三者,然后观察其时不变性与线性。
线性常系数差分方程
1、
线性常系数差分方程

2、 线性常系数差分方程的求解
经典解法:直接数学求解
递推解法:递推,不容易得到解析式
一般题目当中会给出初始条件,通过初始条件一步一步递推。初始条件可能直接给出,也可能通过因果性等条件暗示。
变换域方法:后面学习
*附上本书答案《数字信号处理第四版高西全》
链接:https://pan.baidu.com/s/18he0cUY8b_rrQbxxQbU06w 提取码:dgd6