前一篇文章写的是离散型随机变量的概率分布,今天我们来聊聊连续型随机变量的概率分布。
并非所有的数据都是连续的,根据数据类型的不同,有不同的求概率的方法,对于离散型随机变量的概率分布,我们关心的是取某一个 特定数值下的概率 ,而对于连续型随机变量的概率分布,我们关心的是取某一个 特定范围内的概率 。
首先要提到的一个概念就是:
概率密度函数
概率密度函数用来描述连续型随机变量的概率分布,用函数f(x)表示连续型随机变量,将f(x)就称为概率密度函数,概率密度并非概率,只是一种表示概率的方法,大家不要混淆,其曲线下面的面积表示概率。
概率密度函数下方的总面积为1,因为面积代表概率,而概率是必须为1。

下面是三种典型的连续型随机变量的概率分布
1. 正态分布
随机变量X服从一个数学期望为μ、方差为σ^2的正态分布,就是正态分布,也叫做高斯分布,通常记做:

标准正态分布
正态分布是一个钟形曲线,曲线对称,中央部分的概率密度最大,越往两边,概率密度越小。μ决定了曲线的中央位置,σ决定了曲线的分散性,σ越大,曲线越平缓,σ越小,曲线越陡峭。

如何求正态分布的概率?
正态分布的概率密度函数满足:

连续型随机变量的理想模型就是正态分布,求正态分布的概率同样是求概率密度曲线下的面积,曲线的面积如何求?没关系,已经有前人栽树了,总结好了一整套的概率对应表,我们就直接乘凉就好了,其实求正态分布下的概率,是高中数学的知识点,但是如今我们完全可以借助Excel、Python这些工具也是可以直接计算出来,就没必要学习怎么去手算了。
标准正态分布的意义是,任何一个正态分布都可以通过线性变换转换为标准正态分布。

正态分布
很多实际问题都是符合正态分布的,如身高、体重等。正态分布在质量管理中也应用的非常广泛,“3σ原则”就是在正态分布的原理上建立的。3σ原则是:
- 数值分布在(μ—σ,μ+σ)中的概率为0.6826
- 数值分布在(μ—2σ,μ+2σ)中的概率为0.9544
- 数值分布在(μ—3σ,μ+3σ)中的概率为0.9974 因此可以认为,Y 的取值几乎全部集中在(μ—3σ,μ+3σ)]区间内,超出这个范围的可能性仅占不到0.3%,这是一个小概率事件,通常在一次试验中是不会发生的,一旦发生就可以认为质量出现了异常。

可以用Python里的matplotlib来画一下正态分布
scipy.stats 是 scipy 专门用于统计的函数库,所有的统计函数都位于子包 scipy.stats 中
fig,ax=plt.subplots(1,1)
loc=1
scale=2.0
#平均值,方差,偏度,峰度
mean,var,skew,kurt=norm.stats(loc,scale,moments='mvsk')
#printmean,var,skew,kurt
#ppf:累积分布函数的反函数。q=0.01时,ppf就是p(X<x)=0.01时的x值。
x=np.linspace(norm.ppf(0.01,loc,scale),norm.ppf(0.99,loc,scale),100)
ax.plot(x,norm.pdf(x,loc,scale),'b-',label='norm')
plt.title(u'正态分布概率密度函数')
plt.show()
结果:

2. 均匀分布
均匀分布,也叫矩形分布,是概率密度函数在结果区间内为固定数值的分布

均匀分布
它的概率密度函数为:

均匀分布在自然情况下极为罕见,同样来画一下均匀分布
#均匀分布
fig,ax=plt.subplots(1,1)
loc=1
scale=1
#平均值,方差,偏度,峰度
mean,var,skew,kurt=uniform.stats(loc,scale,moments='mvsk')
#ppf:累积分布函数的反函数。q=0.01时,ppf就是p(X<x)=0.01时的x值。
x=np.linspace(uniform.ppf(0.01,loc,scale),uniform.ppf(0.99,loc,scale),100)
ax.plot(x,uniform.pdf(x,loc,scale),'b-',label='uniform')
plt.title(u'均匀分布概率密度函数')
plt.show()
结果:

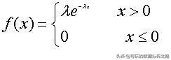
3. 指数分布
指数分布是描述泊松过程中的事件之间的时间的概率分布,即事件以恒定平均速率连续且独立地发生的过程。如旅客进机场的时间间隔,还有许多电子产品的寿命分布一般服从指数分布。

指数分布
其概率密度函数为:

指数分布具有无记忆的关键性质。这表示如果一个随机变量呈指数分布,当s,t>0时有P(T>t+s|T>t)=P(T>s)。即,如果T是某一元件的寿命,已知元件使用了t小时,它总共使用至少s+t小时的条件概率,与从开始使用时算起它使用至少s小时的概率相等。用Python画指数分布的概率密度函数
fig,ax=plt.subplots(1,1)
lambdaUse=2
loc=0
scale=1.0/lambdaUse
#平均值,方差,偏度,峰度
mean,var,skew,kurt=expon.stats(loc,scale,moments='mvsk')
#ppf:累积分布函数的反函数。q=0.01时,ppf就是p(X<x)=0.01时的x值。
x=np.linspace(expon.ppf(0.01,loc,scale),expon.ppf(0.99,loc,scale),100)
ax.plot(x,expon.pdf(x,loc,scale),'b-',label='expon')
plt.title(u'指数分布概率密度函数')
plt.show()
结果:

