1.引言
白光LED(WLED)是新一代固态绿色光源,具有节能环保、小体积、高光效、性能稳定等诸多优点。
目前WLED以PC/MC方式实现白光的路径有三条:1)蓝光LED芯片+黄色荧光粉;2)紫光LED芯片+红+绿+蓝三基色荧光粉;3)蓝光LED芯片+绿光LED芯片+红光LED芯片。实现白光的三种途径中,目前已经实现产业化、最经济实用的途径是蓝光LED芯片涂覆黄色荧光粉,使用该途径的WLED的光效高达250lm/W。随着照明终端产品的市场竞争越来越激烈以及照明灯具的散热环境越来越差,LED光源要具有更好的热的特性才能满足市场的需求。LED光源的热的特性通常采用光输出冷热比表征。WLED的光输出冷热比,即LED光源高温时的光电参数(光通量)与常温时光电参数(光通量)的比值,采用此指标可以验证LED光源热稳定性能的优劣。
在WLED光源中,荧光粉对白光的实现起到至关重要的作用。荧光粉一般为无机发光材料,具有有序排列的晶体结构,其物化性能的稳定性与以下因素有关:材质体系、离散系数、粉胶相容度、粉体形貌。WLED光输出冷热比的影响因素与WLED器件材料有关,荧光材料是前述器件中的关键材料。荧光粉的物理特性(材质体系、离散系数、粉胶相容度、粉体形貌)对WLED光输出冷热比影响的研究未有相关报道,同时解决LED光源热的特性的问题也显得至关重要,因此探讨荧光粉物理特性与WLED光输出冷热比的关系具有实用意义,同时对后续产品设计具有一定的指导作用。
2.实验部分
本文采用SMD 2835的封装形式,蓝光芯片,发射波段在450-455nm,每个LED光源有3颗串联的LED芯片,荧光粉方案由YAG黄色荧光材料、氮化物红色荧光材料和Ga-YAG/LuAG黄绿色荧光材料构成。每组实验只改变黄绿粉的类型而固定胶水用量和另外两种荧光粉含量,并且每个LED光源具有相同的点胶量。黄色、红色和黄绿色3种荧光粉和胶水的配比为黄色∶红色∶黄绿色∶胶水 =0.50∶0.15∶1.5∶1,选取5个相同荧光粉配比的样品进行测试,测试条件为脉冲电流100 mA,测试温度点为25℃,50℃,75℃,85℃,95℃,105℃,取光通量的平均值。粉体参数测试设备:粒径采用激光粒度分析仪测试,热淬灭性能、激发发射光谱采用Fluoromax-4测试;颗粒SEM形貌采用扫描电子显微镜测试;封装设备:ASM固晶机,ASM焊线机,真空脱泡机,武藏点胶机。封装成品光电参数测试设备:远方积分球测试仪。
3.结果与讨论
荧光粉一般为无机材料,根据其基质分类,常用的体系有铝酸盐、氮化物/氮氧化物、硅酸盐、氟化物等。图1.1为不同体系荧光粉的热淬灭性能,可以看出几种体系的粉体中铝酸盐的热稳定性最好,氟化物和硅酸盐的热稳定性较差,氮化物的热稳定性比铝酸盐差但优于氟化物和硅酸盐。

图1.1 不同体系荧光粉的热淬灭性能
Fig.1.1 The heat quenching properties of different system fluorescent powder
因此本文以铝酸盐体系作为研究对象。铝酸盐体系的典型代表为YAG,其化学式为Y3Al5O12:Ce,晶体结构属于立方晶系,晶格常数为1.2002nm,YAG的晶体结构如图1.2所示。从晶体结构可以看出,在Y、Al和O组成的空间中存在三种多面体,分别为:十二面体(图1.2a)、八面体(图1.2b)、四面体(图1.2c),其中氧原子的配位数分别为(Y33+)八配位、(Al23+)六配位、(Al33+)四配位。

图1.2YAG的晶体结构示意图
Fig.1.2 The schematic of YAG crystal structure
3.1荧光粉的材质对WLED光输出冷热比的影响
本实验采用Ga-YAG和LuAG黄绿粉为研究对象,Ga-YAG和LuAG同属钇铝石榴石的晶体结构如图1.1,钇铝石榴石的化学通式为:
(RE1-rSmr)3(Al1-sGas)O12:Ce(1)
式(1)中,RE=La,Lu,Y,Gd,Sc,0≤r<1,0≤s≤1。一般而言Ga-YAG与LuAG同属于立方晶系,只是其晶胞参数存在差异,Ga-YAG是Ga3+对Al3+的部分取代,而LuAG是Lu3+对Y3+的完全取代,其离子半径分别为:rGa3+(八配位)=0.69 ?,rY3+(八配位)=1.04 ?,rAl3+(六配位)=0.62 ?,rLu3+(六配位)=1.001 ?[4]。结合离子半径的匹配度,理论上完全取代比部分取代所形成的晶体结构的热稳定性会更好。就材料角度而言,材料本身的热稳定性可以通过热淬灭性能进行表征。
如图1.3所示为GRF-G和GRF-L之间的粉体热淬灭性能的关系,可以看出,随着温度的上升粉体的亮度衰减呈现出下降趋势,其中GRF-L的热淬灭性能优于GRF-G的热淬灭性能。

图1.3 GRF-G和GRF-L的热淬灭性能
Fig.1.3 The heat quenching properties of GRF-G and GRF-L
实验中Ga-YAG和LuAG分别为GRF-G和GRF-L,其电镜下的形貌如图1.4,可以得出GRF-G和GRF-L的颗粒形貌近似圆球状,其表面光滑。

图1.4左图和右图分别为GRF-G和GRF-L的SEM形貌
Fig.1.4 The SEM morphology of GRF-G (left) and GRF-L (right)
采用GRF-G和GRF-L作为黄绿粉封装成2835成品灯珠,成品灯珠的光通量与测试温度间的变化如图1.5所示,可以得出光通量的冷热比随着温度的增加逐渐下降,在85℃的WLED光输出冷热比GRF-L优于GRF-G。

图1.5 GRF-G和GRF-L的WLED光输出冷热比
Fig.1.5 specific value of photoelectric parameterson ordinary and high temperature of light output with WLED of GRF-G and GRF-L
GRF-G和GRF-L的WLED光输出冷热比,GRF-L比GRF-G要好,这与荧光材料的热淬灭性能以及粉体本身的结构有关,因此不同材质的光转换材料(部分取代与完全取代)对WLED光输出冷热比存在影响。
3.2荧光粉的离散系数对WLED光输出冷热比的影响
离散系数指的是荧光粉试样粒度分布的相对宽度或不均匀度的度量。其定义为分布宽度与中心粒径的比值,其中分布宽度为边界粒径的一组特征粒径的差值,离散系数一般采用如下表达式:
S=(d90-d10)/d50 (2)[5]
式(2)中S表示离散系数,d10、d50、d90分别为粉体的体积累积分布中对应10%、50%、90%的荧光粉的粒径,单位为um,其中d50表示粉体颗粒的中位粒径。一般来说,S值越小粉体颗粒大小分布越集中,单位体积内颗粒表面的缺陷数目大体相同,其受热性能无差异化,热稳定性能越好。本实验采用GRF-S、GRF-M、GRF-B作为黄绿粉,分别与黄粉和红粉搭配到相同的方案中进行封装,其中GRF-S、GRF-M、GRF-B的离散系数S分别为:0.925,1.125,1.325。图1.6表示不同离散系数的GRF-S、GRF-M、GRF-B的热淬灭性能,可以看出随着温度的升高,其荧光材料的亮度不断衰减,其中GRF-B的衰减幅度最大,GRF-M次之,GRF-S最小,三者中GRF-S的热淬灭性能最好。因此从粉体角度来看,离散系数小的其热淬灭性能较好,与前述分析结论一致。

图1.6GRF-S、GRF-M和GRF-B的热淬灭性能
Fig.1.6 The heat quenching properties of GRF-S, GRF-M and GRF-B
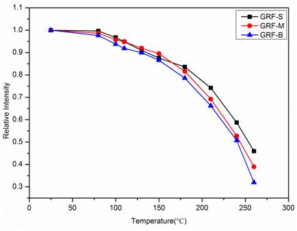
本文就离散系数对WLED光输出冷热比的影响进行研究,采用2835的封装形式,目标参数为Ra=80-82,CCT=3000K,采用相同的封装方案,验证不同离散系数对WLED光输出冷热比的关系,图1.7表示不同离散系数的GRF-S、GRF-M、GRF-B的WLED光输出冷热比关系,随着温度的升高成品灯珠光通量的冷热态比值在不断较小,GRF-S、GRF-M、GRF-B在成品中的衰减幅度GRF-B最大,GRF-M次之,GRF-S最小,说明GRF-S的WLED光输出冷热比最好,GRF-B的WLED光输出冷热比最差,因此不同的离散系数对WLED光输出冷热比存在影响,离散系数越小WLED光输出冷热比越好。

图1.7 GRF-S、GRF-M、GRF-B的WLED光输出冷热比关系
Fig.1.7 specific value of photoelectric parameterson ordinary and high temperature of light output with WLED of GRF-S,GRF-M and GRF-B
3.3粉胶相容度对WLED光输出冷热比的影响
荧光粉合成以后为了提高产品的稳定性能,通常会采用一定的后处理工艺,例如二次淬火处理、包覆工艺等,使用较多的为包覆工艺,使用的包材为SiO2等材料,但即便采用这样的工艺,往往其热稳定性能特别是反映在WLED光输出冷热比中还是会差强人意。一般当荧光粉在封装过程中与封装胶混合时,可能会在颗粒表面与胶体的接触面上存在一定的空隙,里面可能含有未排出去的空气,致使成品在受热时,热稳定性能存在影响,为了解决此问题。有相关厂家提出了一种全新的后处理工艺,通过一定的包覆手段在荧光粉颗粒表面包含一层特殊的物质,经过特殊处理后的荧光粉放入水中会迅速凝聚成一个大的颗粒,从而防止水分进入,经过此工艺处理的颗粒,在与封装胶体结合时,封装胶体会紧密的包裹在颗粒的表面上,不存在有空隙的问题,增大粉胶相容度,理论上来说,可以提升WLED光输出冷热比[6]。

图1.8 RF-G和CRF-G的热淬灭性能
Fig.1.8 The heat quenching properties of RF-G and CRF-G
本文采用2835的封装形式,目标参数为Ra=80-82,CCT=3000K,采用相同的封装方案,验证改善粉胶相容度与未改善粉胶相容度的荧光粉对WLED光输出冷热比的影响,前述两者分别表示为CRF-G和RF-G。图1.8表示RF-G和CRF-G的热淬灭性能,可以看出随着温度的升高荧光粉的发光亮度呈现出不断降低的趋势,其中CRF-G的递减幅度比RF-G要小,说明就荧光粉本身而言,CRF-G的热稳定性要优于RF-G。

图1.9 RF-G和CRF-G的WLED光输出冷热比关系
Fig.1.7 specific value of photoelectric parameterson ordinary and high temperature of light output with WLED of RF-G and CRF-G
本文就粉胶相容度对WLED光输出冷热比的影响,采用2835的封装形式,目标参数为Ra=80-82,CCT=3000K,采用相同的封装方案,验证改善粉胶相容度的粉体对WLED光输出冷热比的影响,图1.9表示改善的粉胶相容度的CRF-G和未改善粉胶相容度RF-G的WLED光输出冷热比的关系,随着温度的升高成品灯珠光通量的WLED光输出冷热比在不断较小,CRF-G和RF-G在成品中的衰减幅度RF-G最大,CRF-G次之,说明CRF-G的WLED光输出冷热比较好,RF-G的WLED光输出冷热比较差,因此粉胶相容度对WLED光输出冷热比存在影响,经过改善粉胶相容度的荧光粉相比未改善粉胶相容度的荧光粉在WLED光输出冷热比要好。
3.4荧光粉形貌对WLED光输出冷热比的影响
荧光粉的颗粒形貌的完整度、光滑度对其稳定性存在一定的影响。在高温固相法的合成工艺中,固态粉体在高温高压气体保护的环境下,会发生相变,由固相转为固溶态从而发生固相反应,最终在最佳的合成温度和最佳的合成时间的条件下,形成新的固相结晶体,此物相要经过破碎工艺,形成一定颗粒大小的荧光粉,破碎工艺一般在球磨机中进行,延长破碎时间和增大球磨转速致使最小颗粒表面产生破碎痕迹、粘上一定的破碎屑或是颗粒直接被劈成片状,使得粉体颗粒形貌完整度、光滑度不一。通过非正常球磨破碎工艺,使荧光粉的颗粒形貌为不规则或颗粒表面有裂痕,如图2.0所示左图为经过强烈球磨破碎的荧光粉颗粒形貌,右图为正常破碎工艺的荧光粉的颗粒形貌,通过前述分析,可以推断强烈破碎相比正常破碎的颗粒的热稳定性要好。

图2.0左图和右图分别为GRF-N和GRF-V的SEM形貌
Fig.2.0 The SEM morphology of GRF-N (left) and GRF-V (right)
本文采用2835的封装形式,目标参数为Ra=80-82,CCT=3000K,采用相同的封装方案,验证经过强烈破碎处理工艺与正常破碎处理的荧光粉对WLED光输出冷热比的影响,前述两者分别表示为GRF-N和GRF-V。图2.1表示GRF-N和GRF-V的热淬灭性能,可以看出随着温度的升高荧光粉的发光亮度呈现出不断降低的趋势,其中GRF-V的递减幅度比GRF-N要小,说明就荧光粉本身而言,GRF-V的热稳定性要优于GRF-N。

图2.1 GRF-N和GRF-V的热淬灭性能
Fig.2.1 The heat quenching properties of GRF-N and CRF-V
本文对强烈破碎处理工艺与正常破碎处理工艺对WLED光输出冷热比的影响,采用2835的封装形式,目标参数为Ra=80-82,CCT=3000K,采用相同的封装方案,验证强烈破碎处理工艺与正常破碎处理对冷热态的影响,图2.2表示后处理工艺的CRF-N和GRF-V的WLED光输出冷热比关系,随着温度的升高成品灯珠光通量的冷热态比值在不断减小,CRF-N和RF-V在成品中的衰减幅度GRF-N较大,CRF-V次之,说明GRF-V的WLED光输出冷热比较好,GRF-N的WLED光输出冷热比较差,因此强烈破碎处理工艺对WLED光输出冷热比存在影响,经过强烈破碎处理工艺的荧光粉相比正常破碎处理工艺的荧光粉的WLED光输出冷热比要差。

图2.2 GRF-V和GRF-N的WLED光输出冷热比的关系
Fig.1.7 specific value of photoelectric parameterson ordinary and high temperature of light output with WLED of GRF-V and GRF-N
4.结论
本文采用SMD 2835的封装形式,采用不同材质的荧光粉、不同离散系数的荧光粉、不同粉胶相容度的荧光粉以及不同形貌的荧光粉作为黄绿粉进行封装实验,可以得出如下结论:采用LUAG材质、小离散系数、较好粉胶相容度、良好颗粒形貌的荧光粉封装的LED光源的光输出冷热比更佳。
因此,荧光粉的物理特性对WLED光输出冷热比存在影响。此研究结论作为粉体管控和优化产品的依据。同时对WLED的产品设计具有理论指导意义和实际的参考价值。
参考文献
[1] 金尚忠,张在宣,郭志军,等.白光照明LED 灯温度特性的研究[J]. 发光学报,2002,23(4):399402.
[2] 李柏承,张大伟.功率型白光LED封装设计的研究进展[J]. 激光与光电子学进展,2009,46(9).
[3]李建宇. *土稀**发光材料及其应用[M]. 北京: 化学工业出版社, 2003.
[4] R.D.SHANNON.Revised Effective Ionic Radii and Systematic Studdies of Interatomic Distance in Halides and Chalcogendes [J].Acta Cryst.(1976).A32,751.
[5]刘光华. *土稀**固体材料学[M]. 北京: 机械工业出版社, 1997.
[6]马林、胡建国等. YAG∶Ge3+发光材料合成的助熔剂研究[J].发光学报,2006,27(3).