介绍:小编大学一年自学通过六个证,现开办自己的软件图书专营部。以学生价专业提供各省会计从业、初级、中级、注会、计算机二级、英语四六级、银行从业、证券从业、基金从业、教师资格证、公务员的最高效备考资料,资料以原题多火爆互联网。索取资料联系薇信/QQ :3026287336
一、选择题(每小题1分,共40分)
(1)下列叙述中正确的是( )。
A.算法复杂度是指算法控制结构的复杂程度
B.算法复杂度是指设计算法的难度
C.算法的时间复杂度是指设计算法的工作量
D.算法的复杂度包括时间复杂度与空间复杂度
(2)设循环队列的存储空间为Q(1:50),初始状态为front—rear=50。现经过一系列入队与退队操作后,front:rear=1,此后又正常地插入了两个元素。最后该队列中的元素个数为( )。
A.2
B.1
C.3
D.52
(3)一棵完全二叉树共有360个结点,则在该二叉树中度为1的结点个数为( )。
A.0
B.1
C.180
D.181
(4)设某二叉树的后序序列与中序序列均为ABCDEFGH,则该二叉树的前序序列为( )。
A.HGFEDCBA
B.ABCDEFGH
C.EFGHABCD
D.DCBAHGFE
(5)在排序过程中,每一次数据元素的移动会产生新的逆序的排序方法是( )。
A.快速排序
B.简单插入排序
C.冒泡排序
D.以上说法均不正确
(6)下面对软件工程描述正确的是( )。
A.软件工程是用工程、科学和数学的原则与方法研制、维护计算机软件的有关技术及管理方法
B.软件工程的三要素是方法、工具和进程
C.软件工程是用于软件的定义、开发和维护的方法
D.软件工程是为了解决软件生产率问题
(7)耦合性和内聚性是对模块独立性度量的两个标准。下列叙述中正确的是( )。
A.内聚性是指模块间互相连接的紧密程度
B.提高耦合性降低内聚性有利于提高模块的独立性
C.耦合性是指一个模块内部各个元素阅彼此结合的紧密程度
D.降低耦合性提高内聚性有利于提高模块的独立性
(8)下列关于数据库系统的叙述中正确的是( )。
A.数据库系统中数据的一致性是指数据类型一致
B.数据库系统避免了一切冗余
C.数据库系统减少了数据冗余
D.数据库系统比文件系统能管理更多的数据
(9)一名艺人可以出演多部电影,则实体艺人和电影之间的联系是( )。
A.多对多
B.一对一
C.多对一
D.一对多
(10)学生选课成绩表的关系模式SC(S#,C#,G),其中s#为学号,C#为课号,G为成绩,关系表达式πS#,C#SC./s表示( )。索取计算机二级题库联系微信/QQ:3026287336

A.表S中所有学生都选修了的课程的课号
B.全部课程的课号
C.成绩不小于80的学生的学号
D.所选人数较多的课程的课号
(11)在数据库设计中用关系模型来表示实体和实体之间的联系,关系模型的结构是( )。
A.层次结构B.二维表结构C.网状结构D.封装结构
(12)要在表中检索出属于计算机学院的学生,应该使用的关系运算是( )。
A.联接
B.关系
C.选择
D.投影
(13)进行数据表设计时,不能建索引的字段的数据类型是( )。
A.文本
B.自动编号
C.计算
D.日期/时间
(14)设计数据表时,如果要求“成绩”字段的范围在o~100之间,则应该设置的字段属性是( )。
A.默认值
B.输入掩码
C.参照完整性
D.有效性规则
(15)在设计数据表时,如果要求“课程安排”表中的“教师编号”必须是“教师基本情况”表中存在的教师,则应该进行的操作是( )。
A.在“课程安排”表和“教师基本情况”表的“教师编号”字段设置索引
B.在“课程安排”表的“教师编号”字段设置输入掩码
C.在“课程安排”表和“教师基本情况”表之闯设置参照完整性
D.在“课程安排”表和“教师基本情况”表的“教师编号”字段设置有效性规则
(16)在数据表设计时,一个字段的基本需求是:具有唯一性且能够顺序递增,则该字段的数据类型可以设置为( )。
A.文本
B.OLE对象
C.自动编号
D.计算
(17)查询以字母N或0或P开头的字符串,正确的是( )。
A.[Like”rN—P]*”
B.Like[”N*”Or”O*”Or”P*”]
C.In[“N*”,”0*”,”P*”]
D.Between N*and P*
(18)下列SQL查询语句中,与下面查询设计视图所示的查询结果等价的是( )

A.Select姓名,性别,所属院系,简历From tStud Where性别一”女”And所属院系In(”03”,”04”)
B.Select姓名,简历From tStud Where性别一”女”And所属院系In(”03”,”04”)
C.Select姓名,性别,所属院系,简历From tStud Where性别一”女”And所属院系一”03”OR所属院系一”04”
D.Select姓名,简历From tStud Where性别一”女”And所属院系=”03”OR所属院系一“04”
(19)要调整数据表中信息系l990年以前参加工作教师的住房公积金,应使用的查询是( )。
A.生成表查询
B.更新查询
C.删除查询
D.追加查询
(20)要将“招聘人员”表中处于“已报到”状态的记录添加到“职工”表中,可以使用的查询是( )。
A.选择查询
B.追加查询
C.更新查询
D.生成表查询
(21)下列关于SQL命令的叙述中,错误的是( )。
A.INSERT命令可以将一条新记录插入表中
B.UPDATE命令可以更新表中已存在的记录
C.DEl.ETE命令可以删除表中已存在的记录
D.SELECT命令不能与GRUP BY一起使用
(22)图书表中有“出版日期”字段,若需查询出版日期在1990年到l999年出版物,正确的表达式是( )。
A.Like”1997/*/*”
B.Between#1997/l/1#and#1997/12/31#
C.In(”1997/*/*”)
D.Like#1999/*/*#
(23)支持数据库各种操作的软件系统称为( )。
A.命令系统
B.数据库系统
C.操作系统
D.数据库管理系统
(24)数据库应用系统包括( )。
A.数据库语言、数据库
B.数据库、数据库应用程序
C.数据管理系统、数据库
D.数据库管理系统
(25)如果一个窗体中的内容较多而无法将数据在一页中显示出来时,要对内容进行分页,应使用的控件是( )。
A.命令按钮
B.组合框
C.选项卡
D.选项组
(26)在关系数据库中,关系是指( )。
A.各条记录之间有一定关系
B.各个字段之间有一定关系
C.各个表之间有一定的关系
D.满足一定条件的二维表
(27)在窗体设计视图中,必须包含的部分是( )。
A.主体
B.窗体页眉和页脚
C.页面页眉和页脚
D.主体、页面页眉和页脚
(28)在窗体设计时,要改变窗体的外观,应设置的是( )。
A.控件
B.标签
C.属性
D.数据源
(29)设置计算型控件的控件源,计算表达式开始的符号是( )。
A.“,”
B.“<”
C.“一”
D.“>”
(30)宏、宏组和宏操作的相互关系是( )。
A.宏一)宏操作一>宏组
B.宏操作一)宏一)宏组
C.宏操作一)宏组一>宏
D.宏组一)宏操作一>宏
(31)以下关于宏的叙述中,正确的是( )。
A.可以将VBA程序转换为宏对象
B.可以将宏对象转换为VBA程序
C.可以在运行宏时修改宏的操作参数
D.与窗体连接的宏属于窗体中的对象
(32)保存当前记录的宏命令是( )。
A.Docmd.SaveRecord
B.Docmd.SaveDatabase
C.SaveReeord
D.SaveDatabase
(33)表达式4+5\6*7/8 Mod 9的值是( )。
A.4
B.5
C.6
D.7
(34)如果在c盘当前文件夹下已有顺序文件StuData.dat,执行语句:0pen”C:StuData.dat”For AppendAs#1后,完成的操作是( )。
A.打开文件,且清除文件中原有内容
B.保留文件中原有内容,可在文件尾添加新内容
C.保留文件中原有内容,可从文件头开始添加新内容
D.以只读方式打开文件
(35)下列VBA变量名中,正确的是( )。
A.3aB.Print一2C.Select My NameD.Select一12
(36)执行下列程序段后,变量X的值是( )。

A.2
B.4
C.6
D.8
(37)下列VBA变量名中,正确的是( )。
A.2010access
B.2010一access
C.access~2010
D.access2010
(38)Access将内置函数分类进行管理,下列选项中,不属于Access内置函数分类的是( )。
A.窗口
B.数据库
C.数组
D.财务
(39)函数Msgbox返回值的类型是( )。
A.数值
B.货币
C.字符串
D.逻辑值
(40)能够实现从指定记录集里检索特定字段值的函数是( )。
A.Nz
B.Find
C.Lookup
D.DLookup
一、选择题
(1)D
【解析】算法的复杂度是指运行该算法所需要的计算机资源的多少,所需的资源越多,该算法的复杂度越高;反之,所需资源越少,复杂度越低。算法复杂度包括算法的时间复杂度和算法的空间复杂度,算法的时间复杂度是指执行算法所需要的计算工作量,算法空间复杂度指执行这个算法所需要的内存空间。故选择D选项。
(2)A
【解析】循环队列是队列的一种顺序存储结构,用队尾指针rear指向队列中的队尾元素,用排头指针指向排头元素的前一个位置。循环队列长度为50,由初始状态为front=rear一50可知此时循环队列为空。入队运算时,首先队尾指针进1(即rear+1),然后在rear指针指向的位置插人新元素。特别的,当队尾指针rear一50+1时,置rear一1。退队运算时,排头指针进l(即front+1),然后删除front指针指向的位置上的元素,当排头指针front=50+1时,置front=1。若经过运算,front=rear一1可知队列空或者队列满。此后又正常地插入了两个元素说明插入前队列为空,则插入后队列元素个数为2。故选择A选项。
(3)B
【解析】在二叉树中,一个结点所拥有的后件个数称为该结点的度。完全二叉树指除最后一层外,每一层上的结点数均达到最大值,在最后一层上只缺少右边的若干结点。由定义可以知道,完全二叉树中度为l的结点个数为l或者0。若结点总数为偶数,则有l个度为1的结点;若结点总数为奇数,没有度为1的结点。由于题目中的完全二叉树共有360个结点,则度为1的结点个数为l。故选择8选项。
(4)A
【解析]--叉树遍历可以分为3种:前序遍历(访问根结点在访问左子树和访问右子树之前)、中序遍历(iZ问根结点在访问左子树和访问右子树两者之间)、后序遍历(访问根结点在访问左子树和访问右子树之后)。二叉树的后序序列与中序序列相同,说明此树结点没有右子树,且最后一个节点H为根节点,而前序遍历中根节点应在最先被访问,即节点H在最先出现,由此推断前序遍历为HGFEDCBA,故A选项正确。
(5)A
【解析】冒泡排序只交换相邻元素,但不是每次移动都产生新的逆序。简单插入排序的元素移动不会产生新的逆序。快速排序每一次交换移动都会产生新的逆序,因为当不会有新的逆序产生时,本轮比较结束。故选择A选项。
(6)A
【解析】软件工程是应用于计算机软件的定义、开发和维护的一整套方法、工具、文档、实践标准和工序。c选项叙述不全面。软件工程包含3个要素:方法、工具和过程。B选项错误。软件工程的目标是:在给定成本、进度的前提下,开发出具有有效性、可靠性、可理解性、可维护性、可重用性、可适应性、可移植性、可追踪性和可互操作性且满足用户需求的产品,追求这些目标有助于提高软件产品的质量和开发效率,减少维护的困难。D选项错误。软件工程是用工程、科学和数学的原则与方法研制、维护计算机软件的有关技术及管理方法。故本题选A选项。
(7)D
【解析】模块的独立程度可以由两个定性标准度量,一个是耦合性,用来衡量不同模块彼此间互相依赖(连接)的紧密程度。另一个是内聚性,用来衡量一个模块内部各个元素彼此结合的紧密程度。一般来说,要求模块之间的耦合尽可能弱,即模块尽可能独立,且要求模块的内聚程度尽可能高。故选择D选项。
(8)C
【解析】数据管理技术的发展经历了3个阶段:人工管理阶段、文件系统阶段和数据库系统阶段。数据库系统共享性大,冗余度小,但只是减少了冗余,并不是避免一切冗
余。数据的一致性是指在系统中同一数据在不同位置的出现应保持相同的值,而不是数据类型的一致。数据库系统比文件系统有更强的管理控制能力,而不是管理更多的数据。故本题选择C选项。
(9)A
【解析】实体集之间通过联系来建立联接关系分为三类:一对一联系(1:1)、一对多联系(1:m)、多对多联系(m:n)。由于一名艺人可以出演多部电影,而一部电影必定有多个艺人参演,则实体艺人和电影之间的联系属于多对多。故选择A选项。
(10)A
【解析】“表示针对属性进行的投影运算,“/”表示除运算,可以近似地看作笛卡尔积的逆运算。表达式“兀S#.C#(SC)S,表示,首先在关系模式SC中选择属性“学号”与“课号”,结果如下左图。其次在这个关系模式中对关系模式s进行除运算,结果如下右图。而这个关系式的结果表示S中所有学生(Sl、S2)都选修了的课程的课号(C1、C2)。Ⅱs#.C#(Sc)/S的运算结果故本题选A选项。
(11)B
【解析】数据库中的数据模型有三种,分别为层次模型、网状模型和关系模型。其中,层次模型是树型结构,l网状模型为网状结构,关系模型是表结构或二维表结构。;选择B选项。
(12)C
【解析】专门的关系运算包括投影、选择和联l接。选择运算是从关系中找出满足给定条件的那些元组,这;种运算是从水平方向抽取元组;投影运算是从关系模式中挑{选若干属性组成新的关系,这是从列的角度进行的运算,相当于对关系进行垂直分解;联接运算是将两个关系拼接成一个;新的关系,生成的新关系中包含满足条件的元组。在一个关{系中要找出满足指定条件的元组组成新关系属于选择运算。因此选项C正确。
(13)C
【解析]Access数据库中常用的数据类型有文:本、备注、数字、日期/时间、货币、自动编号、0LE对象、超链{接、计算和查阅向导等,其中,0LE对象、计算和查阅向导不能创建索引。故选择C选项。
(14)D
【解析】默认值主要用于设置字段的默认取值。l输入掩码表示用特殊字符掩盖实际输入的字符,常用于加密i字段。有效性规则主要用于字段值的输入范围的限制。参照完整性用于在输入或删除记录时,为了维持表之间关系而必须遵循的规则。综上可知,故选择D选项。
(15)C
【解析】索引是非常重要的属性,它可以根据值,加速在表中查找和排序的速度,而且能对表中的记录实施一性。输入掩码表示用特殊字符掩盖实际输入的字符,常用亍密字段。有效性规则主要用于字段值的输入范围的限制。参完整性用于在输入或删除记录时,为了维持表之间关系而必须循的规则。本题要求设置表之间的关系,故选择C选项。
(16)C
【解析】文本类型存放各种文字和数据的组1适用于文字及不需要计算的数字,最长不超过255个字得OLE对象:可存放表格、图形、图像、声音等嵌入或链接对象自动编号类型数据可以在添加或删除记录时自动产生编值,既可递增或递减,也可随机。计算类型的主要用来存储达式或内置函数。综上可知,选择C选项。
(17)A
【解析】通配符“[]”通配方括号内列出的任一个字符,如:“[N—P]”表示N、O、P中的任一单个字符;“Like"用指定查找文本字段的字符模式,通配符“*”表示与任意个数的符匹配。因此条件表达式“Like”[N~P]*””可以查找到以字母N或O或P开头的字符串。因此选项A正确。
(18)B
【解析】题目中设计视图的查询结果是查询出tStud表中性别为“女”且所属院系是″O3″或″04″的记录,并只显示“姓名”和“简历”字段。A、c选项中,显示的字段有“姓名”,“性别”,“所属院系”和“简历”,不符合要求。D选项中,显示的字段有“姓名”和“简历”,但是这些记录必须满足″所属院系=″03″″,不符合题意。8选项中,显示的字段为“姓名”和“简历”,“所属院系In(″03″,″04″) ″表示所属院系为“O3”或“04”,符合题意。故选择B选项。
(19)B
【解析】查询有5种类型:①选择查询、②交叉表查询、③参数查询、④操作查询(生成表查询、更新查询、追加查询、删除查询)、⑤SQL查询。其中,选择查询:通过指定的条件(没有条件),查询一个或多个表中的记录。生成表查询表示从一个或多个表中提取数据建立新表,常用于备份数据;更新查询表示对一个或多个表中的一组记录做更改;追加查询表示将一个或多个表中的记录追加到其他一个或多个表中;本题中要求对查询的记录进行修改,所以是更新查询。故选择B选项。
(20)B
【解析】选择查询表示显示一个表或多个表中的记录;追加查询表示将查询的结果添加到指定表中,更新查询表示对一个或多个表中的一组记录做更改;生成表查询表示从一个或多个表中的数据建立新表,常用于备份数据。本题要求将“招聘人员”表中处于“已报到”状态的记录添加到“职工”表中。故选择B选项。
(21)D
【解析]INSERT语句表示插入查询,UPDATE语句表示更新查询,DELETE语句表示删除查询,SELECT语句表示选择查询。选项A、B、C表述的内容是正确的,选项D中SELECT可以与GROUP BY/ORDER BY/WHERE子句配合使用,故表述错误。因此选择D选项。.
(22)A
【解析】在Access数据库中查找数据时,可以利用通配符和LIKE运算符一起使用,用于查找指定文本字段。通配符“*”表示与任意个数的字符匹配;“?”表示与任意单个字符匹配。因此“Like”1997/*/*””可以查询日期在1990年到l999年的记录。因此选项A正确。
(23)D
【解析】命令系统是用于执行命令的应用软件。数据库系统是一种可以有组织地、动态地存储大量关联数据,方便用户访问的计算机软件和硬件资源组成的系统。操作系统是管理和控制计算机硬件与软件资源的计算机程序,是直接运行在“裸机“上的最基本的系统软件,任何其他软件都必须在操作系统的支持下才能运行。数据库管理系统支持用户对数据库的基本操作,它是数据库系统的核心软件。故选择D选项。
(24)B
【解析】数据库应用系统是为某一类实际应用定制开发的应用软件系统,数据库应用系统由数据库系统、应用软件和应用界面组成。故选择B选项。
(25)C
【解析】命令按钮可执行一个或多个操作。组合框主要用于字段取值固定的字段。选项卡主要用于分页显示窗体的内容。选项组主要由一个组框及一组复选框、选项按钮或切换按钮组成。故选择C选项。
(26)D
【解析】在关系数据库中,每个关系都是一个二维表。故选择D选项。
(27)A
【解析】窗体包含的部分主要由窗体页眉、页面页眉、主体、页面页脚、窗体页脚组成。每一部分又称节,在一个窗体中主体节是必须存在的。其他节可以有,也可没有。故选择A选项。
(z8)C
【解析】题目要求改变窗体的外观,这是改变窗体的属性的操作。A选项中控件用于对表和查询的字段操作。B选项中标签用于对窗体或控件的标题设置。选项C可用于改变窗体或控件的外观。D选项中的数据源用于设置窗体显示的数据内容。故选择C选项。
(29)C
【解析】控件的控件来源属性主要用于绑定字段或表达式。在输入时要以“一”开头。如“一[字段名]”、“=计算表达式”。故选择c选项。
(30)B
【解析】宏操作是指能够实现特定的功能的操作。宏是由一个或多个宏操作组成。宏组是对多个宏进行分组操作。因此,宏组>宏>宏操作。故选择B选项。
(31)B
【解析】宏操作可以转换为VBA程序,但VBA程序不能都转换成宏操作。在宏执行时不能修改参数。只有宏设计时才可以。窗体中执行的宏操作可以是窗体对象,也可以是表、查询、报表。故选择B选项。
(32)C
【解析]Docmd是Access数据库提供的一个对象,主要功能是通过调用内部方法来实现VBA对Access的某种操作。SaveRecord是保存当前记录的宏操作。SaveData—base是保存当前数据库的宏操作。SaveRecord是保存当前记录的宏操作命令,Docmd.SaveRecord是在vBA中实现该功能的操作代码,因此选择C选项。
(33)B
【解析】①算术运算符>连接运算符>关系运算符>逻辑运算符。②同级运算按从左向右运算。③括号优先级最高。本题中运算符乘除最高,其次是整除,然后是取余数,最后是加法。因此4+5\6*7/8rood 9一>4+5\42/8rood 9=>4+5\5.25 rood 9一>4+1 rood 9一>4+1一>5故选择B选项。(34)B【解析】打开一个文件的语法格式为:Open“文件名”For模式As[#]文件号[Len一记录长度]其中,模式的取值有如下三种。,
●INPUT:打开一个文件,将对文件进行读操作,文件不存在则出错;
●OuTPuT:打开一个文件,将对文件进行写操作并覆盖原内容,若文件不存在,可新建一个。
●APPEND:打开一个文件,将在该文件末尾执行追加操作。
综上可知,应选择B选项。
(35)D
【解析】在VBA中,变量名只能由字母、数字、下划线组成,并以字母开头,不区分大小写且不能包含其他字符,VBA的关键字不能作为变量名,但变量名中可以含有关键字。综上可知,A、B、C选项不正确。故选择D选项。
(36)C
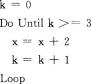
【解析IDo Until/While…Loop循环结构是先判断后执行,有可能一次也不执行。While关键字用于指明条件为真时执行循环体内语句;Until表示当条件为假时,执行循环体内语句。具体的循环过程如下:

由上述的循环过程可知,最后变量X的值为6,故选择C选项。
(37)D
【解析】变量名只能由字母、数字、下划线组成,且以字母开头,不区分大小写,不能包含其他字符。选项A以数字开头,故错误;选项B以数字开头且有特殊字符“一”,故错误,选项C有特殊字符“一”,错误。综上可知,应选择D选项。
(38)A
【解析】在Access中常用的内置函数有财务函数、日期函数、算术函数、文本函数、转换函数、检查函数,没有窗口函数。窗口是Access的对象,不是函数。故选择A选项。
(39)A
【解析]Msgbox主要用于对话框中消息信息的提示,等待用户单击按钮,并返回一个整型数值。可根据这个数值,按要求执行后面的动作。MsgBox以函数形式使用时,消息框会有返回值,其值如下:

故选择A选项。
(40)D
【解析】Access中没有Lookup函数。Find命令用于在记录集中查询检索,DLookup用于从记录集中检索特定字段的值。Nz用于将null转换为0、字符串或指定值。故选择D选项。