
一次函数是很多最早学习的函数知识内容之一,它的图像是一条直线,而学好一次函数,那么首先要掌握好一元一次方程、二元一次方程、二元一次方程组等相关知识内容。从某种意义上来说,直线方程的概念本质上是刻画直线与方程的一一对应的关系。
进入高中之后,数学教材继续安排直线相关知识内容学习,无论是知识的深度广度都在增加,一方面让学生感受学无止境的学习精神,进一步强化函数思想,学会运用数形结合等数学思想解决问题;另一方面这也是解析几何可以用方程(代数)研究直线(几何)的基础。
高中数学里面我们更多讲究直线方程的概念,这个比起一次函数去解释,显得更加抽象,对学生的思维能力进一步提出挑战,但也加强学生对思考问题的角度和方法的培养,这些都是数学综合素质的体现。
跟直线相关的知识内容,很多看上去都是属于“死记硬背”的东西,如直线的倾斜角与斜率概念、公式等等,只要肯花点时间去背背,都能记住,但能不能运用这些知识正确解出问题,又是另一回事。
因此,对于任何数学知识,我们不仅仅是要记住,更要学会去理解知识的本质,这样使自己的思维得到锻炼。
就像对直线的倾斜角与斜率、直线的方程这块知识内容的学习,首先要把概念分析清楚,牢记概念。

什么是直线的倾斜角?
1、定义:x轴正向与直线向上方向之间所成的角叫做这条直线的倾斜角.当直线与x轴平行或重合时,规定它的倾斜角为0°.
2、倾斜角的范围为[0,π).
什么是直线的斜率?
1、定义:一条直线的倾斜角α的正切值叫做这条直线的斜率,斜率常用小写字母k表示,即k=tan_α,倾斜角是90°的直线没有斜率.
2、过两点的直线的斜率公式:
经过两点P1(x1,y1),P2(x2,y2)(x1≠x2)的直线的斜率公式为k=(y2-y1)/(x2-x1)=(y1-y2)(x1-x2).
花点时间去记住这些概念都不难,但深刻去理解,如在求直线方程时要关注判断直线斜率是否存在,每条直线都有倾斜角,但不一定每条直线都存在斜率。
由斜率求倾斜角,一是要关注倾斜角的范围;二是要考虑正切函数的单调性。用截距式写方程时,应先判断截距是否为0,若不确定,则需要分类讨论。

典型例题分析1:
已知直线l:kx-y+1+2k=0(k∈R).
(1)证明:直线l过定点;
(2)若直线l不经过第四象限,求k的取值范围;
(3)若直线l交x轴负半轴于点A,交y轴正半轴于点B,O为坐标原点,设△AOB的面积为S,求S的最小值及此时直线l的方程.
解:(1)证明:法一:直线l的方程可化为y=k(x+2)+1,
故无论k取何值,直线l总过定点(-2,1).
法二:设直线过定点(x0,y0),则kx0-y0+1+2k=0对任意k∈R恒成立,即(x0+2)k-y0+1=0恒成立,
∴x0+2=0,-y0+1=0,
解得x0=-2,y0=1,故直线l总过定点(-2,1).
(2)直线l的方程为y=kx+2k+1,则直线l在y轴上的截距为2k+1,
要使直线l不经过第四象限,

解决直线方程的综合问题时,除灵活选择方程的形式外,还要关注题目中的隐含条件,若与最值或范围相关的问题可考虑构建目标函数进行转化求最值。
同时对直线方程的形式及适用条件要分的非常清楚:
1、点斜式
几何条件是过点(x0,y0),斜率为k ;方程为y-y0=k(x-x0) ;局限性是不含垂直于x轴的直线。
2、斜截式
几何条件是斜率为k,纵截距为b ;方程为y=kx+b;局限性是不含垂直于x轴的直线。
3、两点式
几何条件是过两点(x1,y1),(x2,y2),(x1≠x2,y1≠y2);方程为(y-y1)/(y2-y1)=(x-x1)(x2-x1);局限性是不包括垂直于坐标轴的直线。
4、截距式
几何条件是在x轴、y轴上的截距分别为a,b(a,b≠0);方程为x/a+y/b =1 不包括垂直于坐标轴和过原点的直线。
5、一般式
方程为Ax+By+C=0(A,B不全为0) 。
典型例题分析3:
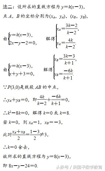
过点P(3,0)作一直线,使它夹在两直线l1:2x-y-2=0与l2:x+y+3=0之间的线段AB恰被点P平分,求此直线的方程。


在求解与直线有关的相关问题过程中,一些学生常常会因考虑不周全而丢失分数,如对直线斜率与倾斜角之间的关系理解不够透彻妄下结论导致错误;求直线的倾斜角或斜率时不能准确地表达结果;如设直线方程为点斜式或斜截式而漏掉斜率不存在的情况。
求直线方程的方法主要有以下两种:
1、直接法:根据已知条件,选择适当的直线方程形式,直接写出直线方程;
2、待定系数法:先设出直线方程,再根据已知条件求出待定系数,最后代入求出直线方程。
从几道例题,我们可以看出,要想正确解决直线相关的问题,那么就要正确求出倾斜角,如求倾斜角的取值范围的一般步骤:
1、求出斜率k=tan α的取值范围;
2、利用三角函数的单调性,借助图象或单位圆数形结合,确定倾斜角α的取值范围;
3、求倾斜角时要关注斜率是否存在。
通过对直线方程的概念、倾斜角概念、斜率定义及斜率公式四大主要知识的学习,我们不仅要扎实掌握好基本知识内容,更要通过知识的学习,让自身的思维能力得到锻炼。
典型例题分析4:
如图,射线OA、OB分别与x轴正半轴成45°和30°角,过点P(1,0)作直线AB分别交OA、OB于A、B两点,当AB的中点C恰好落在直线y=1/2x上时,求直线AB的方程.


解决直线相关问题,我们很多时候要借助坐标系,这就相当于要熟练运用数形结合思想去解决问题,对函数的图象和性质要熟记于心。