尽管他汀是预防血汗管事件最有效的治疗药物,但部分血汗管疾病高危患者已接受最大剂量他汀后仍存在较高的血汗管疾病风险。近期先后公布的多项III期研究研究论证了PCSK9*制剂抑**的降胆固醇作用,其降低LDL-C的幅度可髙达50%以上。这一降幅相当于大中剂量的强效他汀。与此同时,现有研究也显示此类药物具有良好的安全性与耐受性。至此,PCSK9*制剂抑**已经具备了作为优秀降胆固醇药物的基本条件。是否这类药物将替代他汀成为降脂领域的新“霸主”?

PCSK9*制剂抑**何时被发现,经历了哪些临床进展?
PCSK9 *制剂抑**是什么?简而言之,这是一种未来也许能帮助你摆脱动脉粥样硬化性血汗管疾病的新型药物,从发现罕见 PCSK9 基因突变改变 LDL 代谢至今仅仅 10 年。
-
2006年 Cohen等发现PSCK9基因功能丧失与LDL-C降低相关
-
2009年 Chan等和承诺了PCSK9基因抗体mAb1,并证实其可与LDLR结合,增加LDL的摄取
-
2012年 AHA年会报道了三项PCSK9*制剂抑**II期临床研究,均可有效降低LDL-C水平
-
2013年 2013 AHA年会~2014年ACC年会报道了多项PCSK9*制剂抑**III期临床研究(MENDEL-2、LPLACE-2、GAUSS-2、DESCARTES),证实对不耐受他汀人群、原发性高胆固醇血症等高脂血症均可显著降低LDL-C水平
-
2014年 2014ACC年会宣布即将开展FOURIER研究,即第一项关于PCSK9单抗与他汀比较的大型硬终点RCT研究。
-
2015年 安进的PCSK9*制剂抑**Repatha(通用名evolocumab)或FDA批准,赛诺菲/再生元的同类药物Praluent(通用名Alirocumab)获欧洲药品监管机构的批准。
-
2016年 美国制药巨头辉瑞(Pfizer)宣布其在研PCSK9*制剂抑**类降脂药bococizumab在两项III期临床研究SPIRE-HR(高风险)和SPIRE-FH(家族性高胆固醇血症)均获得成功。
PCSK2*制剂抑**非获批是基于哪些重要的III期临床研究?
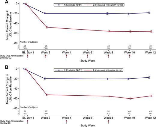
1、MENDEL-2研究
结果总计614例患者中,evolocumab使LDL-C较基线水平的下降,比安慰剂多55%~57%,比依折麦布组低38-40(P < 0.001)。Evolocumab治疗对其他脂蛋白水平也有改善。这是目前应用PCSK-9*制剂抑**最大的单药治疗方案。与安慰剂或依折麦布相比,evolocumab显著降低了高胆固醇血症患者的LDL-C水平,并且耐受性良好。
▲Evolocumab可使LDL-C较基线水平下降,比安慰剂多55%~57%
2、GAUSS-2和GAUSS-3研究
307例患者中,接受evolocumab治疗12周后可使LDL-C较基线水平降低53%-56%,与依折麦布的差异是37%~39%(P <0.001)。肌肉不良事件见于12%的Evolocumab患者和23%的依折麦布患者。接受Evolocumab治疗24周后可使LDL-C较基线水平降低52.8%,而依折麦布降低为16.7%(P <0.001)。这表明对于胆固醇升高且他汀不耐受的高危患者,Evolocumab强效而且耐受性良好,是一种颇有希望的治疗方法。
▲Evolocumab治疗12周后的LDL-C降低百分比
3、ODYSSEY MONO研究
24 周的alirocumab 治疗可使 LDL-C 下降 47%,降幅明显大于依折麦布。
4、DESCARTES‑2研究
这是迄今为止随访时间最长(52 周)的一项研究,共纳入 901 例接受最大剂量他汀治疗后 LDL‑C >75 mg/dl 的非冠心病或冠心病患者。结果表明,接受volocumab 治疗52周后可使低血汗管风险和冠心病患者的 LDL-C 较基线降低 57%,显著优于安慰剂。这与 II 期研究中在第 12 周所观察到的降幅相似。
5、LAPLACE-2研究
评估了中-高强度和高强度他汀治疗之外evolocumab 的有效性和耐受性。120mg 的evolocumab(2 周给药)或 420mg 的 evolocumab(4 周给药)被证明安全有效的。Evolocumab 同时还可明显降低脂蛋白 a 和 apoB,升高 HDL-C 的水平。
6、RUTHERFORD‑2研究
证实evolocumab 联合治疗降低杂合子家族性高胆固醇血症患者的 LDL-C 安全有效,12 周治疗可使这部分患者的 LDL-C 降低 56-63%,所有的患者均服用他汀,60% 的患者服用依折麦布。
当前市场上有哪些降脂药?
-
他汀类药物7种:
-阿托伐他汀(立普妥,Lipitor)
-氟伐他汀(来适可,Lescol)
-洛伐他汀(美降脂,Mevacor)
-普伐他汀(普拉固,Pravachol)
-瑞舒伐他汀(可定,Crestor)
-辛伐他汀(舒降之,Zocor)
-
PCSK2*制剂抑**2种:
-Alirocumab (Praluent):2015年7月获FDA批准 ,生产商:Sanofi-Aventis。
-Evolocumab (Repatha):2015年8月获欧盟批准,生产商:Amgen。
-
肠道胆固醇吸收选择性*制剂抑**1种
-依折麦布(益适纯)

▲他汀类、依折麦布和PCSK9*制剂抑**均可增加LDL受体的表达,降低LDL-C水平程度不同(出自:Grundy SM.Nat Rev Cardiol. 2016 Feb;13(2):74-5.)
PCSK9 *制剂抑**是否能替代他汀成为降脂领域新霸主?
从发现罕见 PCSK9 基因突变改变 LDL 代谢至今仅有10 年,PCSK9 *制剂抑**已成为一种现有降 LDL-C 药物之外前景广阔的治疗药物。PCSK9 *制剂抑**联合他汀治疗或单独使用可使 LDL-C 降低 40%~72%。这种强效的降 LDL-C 效果或许可用于他汀不耐受患者或服用最大剂量他汀后 LDL-C 仍处于较高水平的未达标患者。
▲根据ESC指南,这几类患者均为血汗管疾病高风险患者(出自:Chapman MJ, et al. Curr Opin Lipidol. 2015 Dec;26(6):511-20.)
然而,在血脂异常干预以及血汗管疾病的防治中,LDL-C的降低只能作为一个替代终点。降胆固醇治疗的目的并不在于降低胆固醇本身,其最终目的是减少不良血汗管事件的发生。因此,仅具有理想的降胆固醇效果和安全性耐受性仍不足以成为优秀的降脂药物,也尚不能撼动他汀的霸主地位。
两种抗PSCK9*制剂抑**都在进行血汗管预后研究,预计2017年出结果。我们期待着这些结果,这些III 期研究将进一步提供这类药物减少血汗管疾病风险的长期安全性和有效性的必要信息,或许未来几年后,降脂领域他汀“称霸天下”的格局将被打破。
参考文献:
1. Koren MJ, et al. J Am Coll Cardiol. 2014 Jun 17;63(23):2531-40.
2. Stroes E, et al. J Am Coll Cardiol. 2014 Jun 17;63(23):2541-8.
3. Nissen SE, et al. JAMA. 2016 Apr 19;315(15):1580-90.
4. Roth EM, et al. Future Cardiol. 2015;11(1):27-37.
5. Blom DJ, et al. NEJM. 2014;370(19):1809–1819.
6. Robinson JG,et al. JAMA.2014;311(18):1870–1882.
7. Raal FJ,et al. Lancet. 2015 Jan 24;385(9965):331-40.
8. Grundy SM.Nat Rev Cardiol. 2016 Feb;13(2):74-5.
9. Chapman MJ, et al. Curr Opin Lipidol. 2015 Dec;26(6):511-20.
本文由杏树林编写整理。如需转载,请联系[email protected]授权。
微信搜索“杏树林”获取更多医线讯息!