我们去买透明胶带的时候,常常会遇到两种型号。胶带的宽度相同,但是“厚度”不同。就像下图这个样子

图中是真实价格
这两种胶带,上边的是4元/卷,下边的9.4元/卷,你怎么选?由于两种胶带的宽度相同,所以我们只需要看看这两种胶带的总长度就可以了。
难 道把胶带全部展开量一下?生产商当然可以这么做,但是消费者显然无法这样去丈量。下面我们用微积分的方法对胶带的总长度进行估算,并对哪款胶带更划算给出说明。

白色部分为塑料圈,橙色部分为胶带
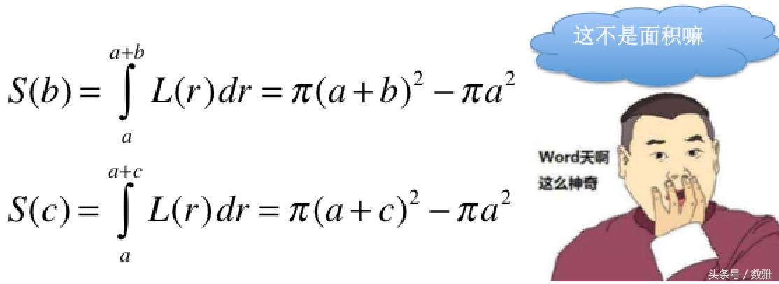
数学老师教过我们,圆周长等于直径乘以圆周率。但随着胶带厚度的增加,每一层的周长都不一样,这就需要用到积分的方法去计算。我们用L(r)表示一圈的周长,其中r为半径。两款胶带内径相同,用a表示:就是用来缠胶带的那个塑料圈的半径。用b表示薄胶带厚度,用c表示厚胶带厚度,用S(b)和S(c)表示两款胶带的总长度。

顺便可以思考一下积分的现实意义
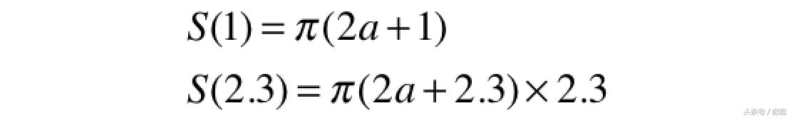
在这个例子中,薄胶带厚度1cm,厚胶带厚度2.3cm,于是不难算出两款胶带的总长度。

然后我们再计算一下两款胶带长度的比值,以及价格的比值,并作对比看看到底怎么买更划算。

通过比较发现,
-
当a=29.4cm时,买哪个胶带都行;
-
当a>29.4cm时,买小胶带更划算;
-
但a<29.4cm时,买大胶带更划算。
在本例中,显然a远远小于29.4cm,所以买大胶带划算。这个结果也符合生产商的利益:同一个塑料圈缠更多胶带,可以节省塑料圈的成本。
对于更一般的情形,用这个方法也可以去计算,其中还会用到导数的性质,有兴趣的可以试试。