No.1 前言:打通最后的5公里

某知名记者在一份调查报告里面描述一组惊人数据:有63%的人驾车距离在5公里以内,甚至有19%的驾车距离小于2公里;当时很难理解为什么那么短距离还要开车。后来自己有切身的体验,从办公室去食堂吃饭,要经过几个路口,虽然路程很短,但路面比较拥堵,红绿灯多,开车过去时间也耗不少,但选择其他交通工具,例如骑自行车应该是一个不错的办法,但遇到大热天或者其他极端天气,极为难受;这时候很多人的选择就是算了吧!反正开车也方便,因为来回毕竟还得有两三公里的距离,那么在这种情况下,就是哪怕是一公里左右我们都要开车。

电动车、电动滑板和平衡车不是可以解决最后一段路的问题吗?笨重的电动车不方便携带,而电动滑板和平衡车虽然很小,但不太安全(最近北京整治此类型代步工具不能上路),而且不适合严肃的场合,所以统统否决。
人们的目光转向便携、可供折叠的交通工具-微电动车;它的出现恰恰解决5km以内的童鞋出行的问题,它体型微小,不像普通电动车那么巨大,它的续航虽然不强,但勉强可供两三天的使用;它的折叠设计,使用户能方便带入地铁或其他公交工具;它结构简单,可靠性强,而且价格便宜,利于各个阶层消费者购买;感谢张大妈和乐行天下的厚爱,让我体验到这款让我爱不惜手的微电动车-乐行天下P1天鹅微电动车(后面统一称呼“乐行P1”)。篇幅较长,文末有福利,请耐心观看。
No.2 开箱和外观篇:外观加分

1、包装
▲从产品的包装就知道这不是一个小的家伙,长宽高:990mm*760mm*210mm;重量有十多公斤;正面的四个大字“即刻撒野”正是P1倡导的生活理念;

▲另外一面主要突出产品的轮廓,刻画着P1不俗的外观线条;除此之外还有乐行天下的LOGO,显得简约大方;

▲侧面主要是产品的二维码(INMOTION APP),和产品的类型;可以通过扫描二维码方式添加P1的APP,此次我收到的颜色为黑-橙色;

▲产品的纸质包装箱十分厚实,虽历经长途跋涉,破了两个大洞,依然安然无恙;

▲这里需吐槽一下,纸箱尺寸太大,单人搬移很费劲,只有两条黄色绑带可以提着走,如果能像大型平板电视包装箱一样两旁有提手的地方,就方便很多;

▲通过GIF动画展示整个开箱过程,鉴于乐行P1电动车的完成率已经很高,需要动手安装的环节很少;

▲硕大的纸箱固定由扁丝来完成,看似以为要像拆订书机钉子那样麻烦,其实一点都不折腾,只需要沿着纸皮外侧轻轻一拔,力度不大,拆卸留下很大的孔,不易复原,这样可以起到提防黑心JS作用;

▲纸箱内部还夹着两张大纸皮,起到防撞,里面配件不多,只有两个小盒子和电动车主体;

▲车身全方位的防护,各种的泡沫、气泡棉、封条、扎带,甚至前叉后叉端均安装了防撞碟片,可见厂家的细心之处;
2、配件

▲前轮脚踏,由于此款电动车采用前叉端安装脚踏方式,附赠的脚踏配件需要自行安装;银黑色与车身相辉映,十分切合风格;

▲充电器体型不大,正面有电源指示灯,输入220V 1.2A,输出为42V 1.8A,官方号称2.5小时可充满;

▲除了以上两个配件之外,附赠两本说明书,白色为用户手册,黑色为保修手册;黑金的版面显得十分奢华;

▲产品说明书列明安装的方法和车身的参数,后续验证;

▲保修手册注明整车提供一年的保修,但列明锂电池仅有6个月的保修,轮胎保修时间只有3个月;电动车的‘三包’如何界定,目前国家还没有出台明确规定。锂电池保修时间显得有点短;
3、安装

▲安装过程十分简单,各种扎带和胶布的“开撕”,不知道你有没有这样的感受,一步一步揭开产品的真面目过程是如此兴奋;

▲前脚踏的安装,把包装卸下后,不分正反面,均可以安装,两边各安装一个;

▲头管折叠的GIF动画演示;

▲头管折叠操作;这里需要关注,把头管扶直之后,不需要拉起卡扣,只需要扳手扳紧,单手操作即可;当扣紧之后,头管十分稳固;当需要拆卸的时候,就需要把卡口拉上再扳开扳手,这时需要两只手一起工作;
4、外观细节

▲尺寸方面,实测尺寸:长度*宽度*高度91.3cm*48cm*100.4cm(座椅高度73.4cm),由于座椅不可折叠,也就是说,把头管折叠后,最小尺寸为:91.3cm*48cm*73.4cm;整体尺寸比较小,比20寸的小轮车还要小;坐杆和头杆距离为43cm,显得比较短;

▲整车采用黑色基调,在前灯、车架和座椅上带有飘逸的橙色线条,再加上红色的后轮碟刹,神秘之余又不失个性;

▲别树一格的车架设计,在保证车架结构足够强度情况下,设计师大胆采用U型的造型(上下管组成U型),略带弧度的头管、后斜45度角的后叉,使整体极具美感,稍有不足坐杆设计,硬生生焊接在上管上,显得生硬乏味;

▲P1采用大前轮(12英寸),黑色的轮毂,风火轮式的车轮辐条设计,显得动感十足;

▲后轮采用10英寸轮胎,红色的碟刹、银色的电机加上黑色的支架和尾叉显得魅力十足;厚实的碟片,和红色的碟刹器顿时让人人血沸腾,映衬着这台小钢炮不俗的制动能力;

▲车把长度只有48cm,对于体型稍大的男性来说,略显小,车把上有扁型的把套,由于众测为标准版,只有左边的后刹车,除此之外左侧还有前后灯开关和喇叭开关,右侧有电量显示和电源开关,以及电门转把;

▲前后灯开关档位明显,和喇叭开关医院,两者位置挨得很近,大拇指轻易就可以够到;

▲右把手的电量显示为4盏绿色的LED灯,设计略显单薄,从灯口可以看到里面的LED灯泡,而且采用绿色灯光显得很庸俗;在体验过程中发现,这个转把的行程角度比较大,以至于扭到最大速度的时候,手腕向后弯曲到最大位置,时间一长增加劳累感;

▲前大灯采用橙色包边,显得动感十足,双LED大灯设计,大灯下面为型号P1的字样,喇叭隐藏其中;

▲大灯开启亮度十足;

▲实测大灯在漆黑的夜晚,10m范围内均可以看到前面的人及周边的树叶,15m勉强可以看到,效果不俗;

▲采用皮质坐垫,前窄后宽,用手按压明显感觉到支撑和弹性;但稍显偏硬,久坐还是PP痛~

▲铝合金车架的衔接处的焊接接口比较粗犷,符合小钢炮的特质,另外方面显得车身刚度十足;

▲U型车架中间为电动车的电池组;安装在车架中央,其一可以受车架保护,其二重量居中,有利于车辆操控;和市面的电动车一样,自带USB充电口,可以为手机等电子产品充电;瑕疵:充电口的塑料防护垫经常松脱,每次以为塞紧了,结果一会自动松落出来;

▲车尾部有一个椭圆形饭盒状的控制器,和圆柱状的尾灯;

▲尾灯亮度适中,而且还会跟随尾刹车联动,当按压的时候,刹车灯就从常亮变成闪烁,其到警示的作用;
No.3 拆解篇:用料厚实,扩展性强

▲乐行P1两种版本的尺寸,从图中可以看出高配版本在电池容量和刹车类型上与低配版不同,拥有更大的容量的锂电池(10Ah)和增加前碟刹,使高配版的续航能力更强,两者在重量差距不大,载重量也均为120kg;此次测评为标准版,电池容量缩水至4.4Ah(36V),接下来通过拆解,看看其五腑六脏;

▲前大灯的螺丝就在顶部,卸下螺丝便可以把大灯模组抽出来,采用双LED灯设计,隐藏设计的喇叭巧妙设计其中,大灯的透镜比较小,可供DIY;

▲尾灯的螺丝在底部,卸下后也可以看到LED灯泡;

▲电动车的控制器位于座位下面的椭圆小盒里,塑料盖板封装,打开便可以看到银色的控制器和密密麻麻的线缆;控制器就像电动车的“大脑”,起到对前后灯、电机、电池等控制;

▲控制盒保护壳四周有密封胶垫,具有防尘防水作用;

▲P1无刷电机控制器型号为:LX001;体型十分小巧,支持36V电压,采用低电平刹车方式,速度限制由APP进行控制;生产日期为本月;

▲控制器旁边还有一块PCB电路板,难道这个里面有黑科技?原来这个是控制的扩展板卡(同时具有蓝牙通讯功能),起到控制器与开关、前后灯以及喇叭的连接的桥梁作用;

▲线缆的各种用途;刹车线、霍尔线、电机相线、电池连接线、转把的车速控制线以及扩展卡的总线等等;五花八门;有些接口线采用上胶处理,有些则没有;

▲最重要的一组线:霍尔线;采用五种颜色,每一种颜色对应的功能,拔插的时候要对应上电机的霍尔线颜色,不要插错了。
肯定有人问什么是霍尔线?这里普及一下:

▲(网摘)电动车的无刷电机可以看成一台用电子换向装置取代机械换向的直流电动机,那谁来告诉控制器换相(改变电流方向从而使转子能连续转动)的时机?就需要“位置传感器”来感知转子的位置;霍尔元件就是具备这样的能力;霍尔元件可以感知转子相对于磁场的位置,通过霍尔元件可以使控制器在恰当时间改变电流方向,所以电动车的霍尔线中传输的是控制信号;

▲霍尔元件一般紧贴着定子上,三个管脚分别与接电源、地线和信号线;该无刷电机用到3只霍尔元件,故有霍尔A/B/C三组信号线,再加上电源和地线,共五组接口;霍尔元件除了用在电机控制上,还用在转把上(调速),只不过两种霍尔元件不同类型,前者是开关型,后者是线性,这个是后话了。

▲控制盒有瑕疵地方:走线孔位置没有做好密封工作,不利于防尘防水;建议厂家进线口还是要多做密封措施;

▲电池位于车架中央地方,固定的螺丝特别多,对拆卸增加难度,不方便随时更换锂电池,换一个角度来说,增加被盗难度;拆卸的时候要关注保管好密封胶点,以免丢失;

▲费了九牛二虎之力,卸下数十颗螺丝,终于把电池拆卸下来,电池尺寸为36V,能量160Wh,充电电压比实际电压要高一些,达到42V;如果通过换算,容量为:36V 4.4Ah;

▲电池盒的充电口和USB充电口,均带自带防尘塞;

▲电池盒同样采用厚实的密封胶垫,起到防尘防水作用;打开密封盖后可以看到数十颗紫色的电池和中央硕大的电路板;细数了一下足有20颗;

▲电池组的主控板上元器件分布均匀,元件焊接饱满,没有多余残留物;

▲电池槽位置不是全部插满电池,未插满位置依然留有电池连接片,这里是 否暗示可以自行加电池进行扩展?数了一下足有10个空闲(共30个电池槽位)的电池位置;

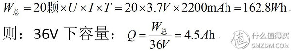
电池型号为LGEAMF11865;网上查阅该型号为LG产的额定容量为2200mAh,18650封装的锂电池;根据公式20颗3.7V 2200mAh的电池总能量为162.8Wh;再换算电机的电压36V,则为36V 4.5Ah;符合官方宣称的4.4Ah;同理,如果要达到官方高配版的36V 10Ah,则需要把全部30个槽位插满,而且全部电芯更换为3300mAh(纯推断,出了问题不要找我);

▲这里吐槽一下电池组的走线,为了省线,直接把电池连接片弄歪了;

▲从电机外壳的标识上刻有看出,P1使用36V 350W的电机;从实际使用体验,虽然这款电机功率不大,但得益比较轻的车架,无论是加速度还是最高时速都挺满意;

▲最后剩下被掏空的P1;总体而言,此款电动车用料还是挺厚实,无论是控制器、电池还是电机,不过细节方面还是有改进的余地;
No.4 体验篇:便利十足但舒适不足
1、便利性

▲作为微型电动车的选择先决条件是什么?不是舒适性、不是动力性、不是配置高不高?首先是尺寸尽可量小,除了可以带上公交车、地铁,平时不用的时候,放在办公室旁,或者杂物房;当自行车放在办公室的时候,每个看到的它的同事无不惊叹它的小巧和造型独特;

▲得益于小尺寸的车身设计,后尾箱塞下两台P1都不困难;

▲小车后排也能塞多一辆P1,可见一家三口外出游玩,完全可以带上三台出游;

▲其次微型电动车另外一个要求:重量尽可能小,谁也不想提着好几十公斤的自行车通过地铁站那高耸的楼梯或者爬办公室的楼梯,P1其12kg的重量,让一个成年人轻松驾驭;在办公室被同事围观的当天,一位女同事提着P1一口气从1楼冲到3楼,而且还说挺轻的~
2、舒适性
微型电动车除了体型小巧,舒适性也是考虑的一个重要因素;

▲P1采用INNOVA伊诺华轮胎(台湾牌子),前轮稍大,为12英寸,后轮为10英寸,轮胎宽度达到50mm,比一般的小轮车要大得多,使轮胎的舒适性得到提高;提醒新入手的车主,记得把轮胎的气放那么一点,降低轮胎气压,避震效果会好那么些;

▲坐垫有厚实的避震气囊,可以减缓一部分的震动,但坐垫还是显得偏硬了些,建议在座椅上垫上一层硅胶坐垫;

▲从坐姿来说,受限于车身的尺寸,其实真实体验不算太好,其一:座椅不能调节,像我这样165cm身高,大腿不需要弯曲太多(白色部分),倘若体型偏大,腿长的人来说(蓝色部分),整个腿就需要弯曲达到90°,电动车不像自行车腿部有足够的活动空间,久坐容易产生劳累;
3、操控性和灵活性

▲这样微型的电动车,刚开始,本人是对其操控性不抱太大希望,因为家里那台大行JP8也是小轮车,其重心高,轮子小,导致车头不易操控,遇到到不平的路面车身会产生剧烈摆向;而P1带给我的感受,虽然也是很飘,但受益于大前轮,以及重心中置,使操控更加容易而稳定;

▲轮胎的花纹也将影响抓地能力,P1的轮胎花纹深而宽,提升排泥排水,增加了抓地力以及复杂路面的通过能力;

▲但由于双腿放置在前轮的踏板上,双腿直接作用在踏板上,与平时骑行车或者驾驶摩托车有专门固定靠脚位置不同,稍有不关注一边腿用力不均匀就容易出现车头突然变向的问题,而且拐弯的时候,腿也要跟着前轮进行转向,增加了学习成本和需要提升应对突发状况的能力;
4、动力性和续航
前面提及乐行P1采用36V 360W电动机,得益于较轻的车身设计,整车的加速度感觉十分不错,而且转把比较灵敏,摆动一个小角度,电机就灵敏地加速前进;爬坡方面,家住附近的生态园有个比较陡峭的小坡,目测15°,捏足转把,还是能顺利冲上去;可见应付一般的城市路面问题不大;

▲续航测试,本人65kg,在80%时间以20km/h速度测试,最大续航里程达到22.75km,与官方宣传的20km距离十分接近;

▲充电测试:晚上9点整充电,11点40分充满电(电源适配器显示绿灯),用时2小时40分,稍大于官方标称2:30;
5、APP客户端

▲乐行P1整车除了一个电量显示外,没有任何显示车辆信息,厂家巧用蓝牙将手机与车辆互通实现车况查询;通过扫描纸箱外面的二维码,就可以在AppStore*载下**“乐行app”;作为厂家宣传的一个重要的门户,自然少不了车友互动和车辆状态的相关信息;

▲在“附近的人”栏目里,还能与附近的乐行好友聊天,查看他们的动态;在“活动”,可以选择车队参加活动;除此之外还有兑换专区(金币)以及商城;最有趣是“教练”栏目,车友可以申请成为教练指导新手(平衡车),可以获得一定的奖励,数了一下,里面有十多位教练,其中不乏美女教练;

▲车辆状态;由于是通过蓝牙连接,新车首次连接需要输入初始密码才能连接到P1,建议登录完毕后及时修改蓝牙密码;

▲通过车辆状态信息,最明显就可以看到车辆目前行驶速度、历程、总里程、电量,下放的功能区里,能对车辆一键锁车(切断车辆电机电源,无法启动);除此外能开启自动巡航,和设置最大速度以及修改蓝牙密码;厂家还人性化增加车辆检修功能,对车辆各部分进行检测,及时判断故障点;

▲在app使用过程中,也出现一些问题,在续航测试过程中,电量显示不准确,明明显示电量0%,当车辆跑到10km的时候,电量就为0%,心想着不是标着续航20km吗?但是一看车辆电量指示灯4盏绿色灯常亮着,于是再坚持跑了12km,车辆才没电停下来,最后打开APP一开,电量显示-100%;此外使用iphone客户端,容易掉线(需要重新连接),致使车辆行驶数据中断记录。
No.5 总结篇:必选高配
作为乐行天下试水的第一款两轮电动车-乐行P1电动车,无论是网上看到的宣传照还是到手后的实际体验,都是惊艳十足;从同事围观我的电动车受欢迎程度略见一斑,五六个人询问价钱,甚至有人还问我卖不卖。
优势:
1、体型小巧,方便携带;
2、独特的车架设计,前大后小的车轮,以及车身配色都带给一种特立独行的气质;
3、用料厚实,扩展能力强;
4、动力十足,操控性不俗;
不足:
1、不可调高度的座椅,影响不同身形的人乘坐舒适性;
2、前轮脚踏容易影响稳定性,增加学习成本;
3、转把需要扭转的幅度比较大;
4、细节有待改善,例如:控制盒的密封、APP的车辆显示电量问题;
购买建议:
如果你的公司单位距离家5-10km,希望能比较自由上下班;或者你乘坐地铁上下班,出了地铁站还需要步行一段距离,那么这款乐行P1带给你不仅是别人羡慕嫉妒恨的目光,还有生活的便利;

▲乐行P1目前两个版本:高配和标准版,价钱相差400元,提升幅度很大,多达50km的续航和前碟刹这两大杀器,如果不是对价格十分敏感,建议直接选购高配版;https://z.jd.com/project/details/65808.html

▲颜色可供选择不多,本人是黑色控,无论是标准版还是高配版,都选择黑色版本吧;当然黑色更耐脏;

▲这里告诉大家一个小秘密:美女长裙配乐行P1更佳哦~最后送上福利,如果大家觉得我的文章不错,请点赞哦!感谢大家的支持,再会!
