************文章来源:呼和浩特初高中物理(hhhtwuli)
转摘请注明出处。*************
一、电热电器类
例1 图1a为小明家的电饼铛,主要用于食品的烤烙和烹制。它采用双控电路,额定电压为220V,上、下盘同时加热时额定功率为1000W,工作的简化电路如图1b,S为总开关,S1和S2为两个温控开关,R1和R2为上、下两盘的加热电阻,R1=R2。

(1)R1正常工作时,R1消耗的电功率是___W。
(2)R1正常工作时,通过R1的电流是多少?(计算结果保留一位小数)
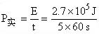
(3)小明妈妈总感觉做晚饭时烙熟一个饼所用时间比在其他时段要长。小明决定用家中的电能表和手表测量做晚饭时电饼铛的实际功率,于是,他关闭家中其他用电器,让电饼铛单独工作5min,电能表转盘转过了225r。(注;该电能表标有“3000r/kW·h”,表示电路中每消耗1kW·h的电能,电能表的转盘转3000r)。
①电饼铛的实际功率是多大?
②烙熟一个饼所用时间变长的原因是:。
解析:设电饼铛额定点压为U,额定功率为P,则U=220V,P=1000W。
(1)因为上下两盘的加热电阻相等,所以正常工作时,上下两盘消耗的电功率相等。上下两盘同时加热时消耗的功率为额定功率。所以R1正常工作时,R1消耗的电功率
P1=

P=

W=500W。
(2)设R1正常工作时,通过R1的电流是I1。由P1=U I1得I1=

=2.3A
(3)①因电路中每消耗1kW·h的电能,电能表的转盘转3000r,所以电能表转盘转过225r时,电路中消耗的电能E=225 r×

=2.7×105J。电饼铛单独工作5min时间消耗的电能为E,所以电饼铛的实际功率

=900W。
②设此时电饼铛两端的电压为

,则

,P=

。所以

=

=208.7V。烙熟一个饼所用时间变长的原因是电饼铛两端的电压小于额定电压。
点评:本题以生活中常见的电饼铛为命题载体,通过对电饼铛工作状态的描述,考查了电功率、额定功率和实际功率、并联电路的知识及其应用,以及对电能表单位“kW·h”与表盘转速关系的正确理解。本题的难点之一是对“3000r/kW·h”的正确理解,题目中对这一难点的解释可帮助学生正确理解这一点,另一难点是用电器的实际功率,学生常常把用电器的实际功率与额定功率混淆。
例2目前市场上出现了一种新型热水器——空气能热水器,也称空气源热水器,它是通过吸收空气中的热量来制造热水的“热量搬运”装置。其工作原理是:空气能热水器在工作时,吸收空气中的能量为Q1,消耗的电能为Q2,通过热交换使热水得到的能量为Q3,即Q3=Q1+Q2.所以它的热效率(Q3/Q2的比值)可以达到300%~500%。问:
(1)若电热水器的热效率是80%,空气能热水器的热效率是400%,现将100kg的水从15℃加热到55℃,使用电功率都是1400W的电热水器和空气能热水器分别耗电多少?所用时间分别是多少?[水的比热容为4.2×103J/(kg·℃)]
(2)请你根据以上计算说明,空气能热水器与电热水器相比,有哪些优点?
解析:(1)100kg的水从15℃加热到55℃吸收的热量

=4.2×103J/(kg·℃)×100kg×(55℃-15℃)=1.68×107J。
设用电热水器把100kg的水从15℃加热到55℃消耗的电能为

,由

得

=

=2.1×107J。由

得用电热水器把100kg的水从15℃加热到55℃所用时间

=1.5×104s。
设空气能热水器把100kg的水从15℃加热到55℃消耗的电能为

,由

得
=

=4.2×106J。由

得用空气能热水器把100kg的水从15℃加热到55℃所用时间

=3×103s。
(2)因为

<

,

<

,所以空气能热水器比电热水器耗能少,用时少,即省电省时。
点评:本题以市场上新型热水器——空气能热水器为命题载体,通过对空气能热水器工作原理的描述,考查了水吸收热量的计算,对热效率的正确理解和电功率的知识及应用,本题的难点是要正确识别出题中“有用能耗”(即水吸收的能量)和总能耗(即电热水器提供的能量、空气能热水器提供的能量)。
例3图2甲是内胆为铝质材料的电饭锅,内部电路如图2乙所示,R1是加热电阻,阻值为48.4Ω;R2是限流电阻,阻值为484Ω。煮饭时,接通电源(220V 50Hz),闭合手动开关S1,电饭锅处在加热状态。当锅内食物温度达到103℃时,开关S1会自动断开,断开后若无外力作用则不会自动闭合,S2是一个自动温控开关,当锅内食物温度达到80℃时会自动断开,温度低于70℃时会自动闭合。(已知水的比热容为4.2×103J/(kg℃);查表可知铝的熔点为660℃)

请解答下列问题:
(1)如果接通电源后没有放入食物就闭合开关S1,电饭锅的内胆是否会熔化?为什么?
(2)在保温和加热两种情况下,电饭锅消耗的电功率之比是多少?
(3)若在一个标准大气压下将温度为20℃,质量为2.5kg的水烧开需要16min40s,求电饭锅正常工作时电能转化为内能的效率是多少?
解析:(1)当锅内温度达到103℃时,开关S1会自动断开,而铝的熔点为660℃,电饭锅的内胆不会熔化。
(2)设电源电压为U ,由

,

得

=

=

。
(3)2.5kg水从20℃到烧开吸收的热量

=4.2×103 J/(kg℃)×2.5kg×(100℃-20℃)=8.4×105J。
电饭锅正常加热16min40s消耗的电能

=

=106J。
电饭锅正常工作时电能转化为内能的效率

×100%=

×100%=84%。
点评:本题以电饭锅为命题载体,通过对电饭锅工作状态的描述,考查了熔点、热平衡,电功率,转化效率等知识及其应用,加热电路和保温电路的识别。本题要明白保温时,电路中R1和R2都有电流通过。
例4在新农村建设中很多楼房顶上装有如图3甲所示的太阳能热水器,图3乙21是内部水箱的结构示意图。S l是自动温控开关,当水温低于20℃时闭合,辅助加热电阻R开始加热;当水温高60℃时断开,辅助加热电阻R停止加热。A、B是水箱中两个相同的实心圆柱体,密度为1.8×103kg/m3,悬挂在水箱顶部的压力传感开关S2上。当S2受到竖直向下的拉力达到16N寸闭合,电动水泵M开始向水箱注水;当拉力小于等于10N时,S2断开,电动水泵M停止注水。取g=10N/kg。求:


(1)若水箱内有100 kg的水,夜晚在辅助加热系统作用下,水温升高了20℃,水吸收的热量。[

=4.2×103J/(kg·℃)]
(2)A、B的体积均为500 cm3,A、B的总重力。
(3)正常情况下水箱中的水面最高时,A受到的浮力。(开关S2下的细绳和A、B间的细绳质量与体积均轻忽不计。)
解析:(1)夜晚在辅助加热系统作用下,水温达到60℃后温度将不再上升。100kg水吸收的热量

=4.2×103 J/(kg·℃)×100kg×20℃=8.4×106J。
(2)设A、B的体积分别为VA、VB,密度为ρA 。则VA=VB=12500px3,ρA=1.8×103kg/m3,A、B的总重力G=ρA(VA+ VB)g=1.8×103kg/m3×2×500×10-6 m3×10N/kg=18N
(3)正常情况下,水箱中的水面最高时,S2受到竖直向下的拉力F=10N,设此时A、B受到的浮力分别为FA、FB,则FB=

=

=5N .由F+FA+ FB =G得
FA=G―F―FB=18N―10N―5N=3N。
点评:本题以生活中常见的太阳能热水器为命题载体,通过对热水器内部水箱结构示意图及太阳能工作状态的介绍,考查了水吸收热量的计算,重力的知识,浮力的知识及其应用本题的一个难点是(3)问中求A受的浮力时,误认为A全部浸没在水中。
二、电动运动工具类
例5电动自行车是倍受人们青睐的一种交通工具,如图4所示,他可以电动骑行,亦可以脚踏骑行,电动骑行时,蓄电池对车上电动机供电,电动机为车提供动力,下表是某型号电动自行车主要技术参数。

(1)电动自行车以额定功率行驶时工作电流是多大?
| 整车 | 整车质量 | 40 kg |
| 最高车速 | ≤30 km/ h | |
| 最大噪声 | ≤62 dB | |
| 轮胎承受最大压强 | 2×105 Pa | |
| 蓄电池 | 电压 | 48 V |
| 容量 | 12 A·h | |
| 电动机 | 额定电压 | 48 V |
| 额定功率 | 240 W |
(2)表中“12A·h”表示蓄电池充满电时储存的电荷量,相当于“It”的值,则蓄电池充足一次电可储存的能量是多少J?
(3)从环保的角度来看,与摩托车相比,电动自行车有什么优缺点?(各列举一条)
解析:由P=UI得电动自行车以额定功率行驶时工作电流I =

=5A
(2)蓄电池充足一次电可储存的能量W=UIt=48V×12A×60×60s=2.07×106J
(3)优点:减少燃气污染。缺点:增加了电解液的污染。
点评:本题以生活中常见的电动自行车为命题载体,通过对电动自行车的主要技术参数的介绍,考查了电功、电功的知识及应用;考查对蓄电池容量“12A·h”的正确理解,这一点题中作了解释说明。只要学生想到电功的公式W=UIt ,再联想到题中对“12A·h”的解释,就可正确解答该题。
例6图5甲是大型超市内常见的自动人行道,它能方便快捷地运输顾客和货物上下楼,图5乙是其构造示意图,下表是其部分参数(表中“运输能力”是指每小时运输的顾客和货物所受的总重力)。


| 效率 | 80% |
| 提升高度 | 4.8 m |
| 额定运输能力 | 5.4×106 N/h |
| 额定速度 | 0.6 m/s |
(1)图乙中顾客A站在静止的自动人行道上,请画出他受到的重力和支持力的示意图。
(2)自动人行道以额定速度上行时,假设站在一楼地板上的观察者看到自动人行道上的顾客处于静止状态,则该顾客一定______(填“顺”或“逆”)着自动人行道上行的方向运动,他相对于观察者的速度是______。
(3)自动人行道的电动机的额定输入功率是多少瓦?
解析:(1)人受到的重力方向竖直向下,支持力方向垂直于传送带向上(图略)。
(2)站在一楼地板上的观察者相对于地板的速度是0,而观察者看到自动人行道上的顾客处于静止状态,即顾客相对于观察者也是静止的,所以顾客相对于观察者的速度是0。
由于自动人行道以额定速度上行,即自动人行道相对于观察者上行,而顾客相对于观察者是静止的,如果顾客相对于自动人行道静止或顺着自动人行道上行,观察者将会看到顾客上行而不是静止,所以顾客不可能相对于自动人行道静止或顺着自动人行道上行。因此顾客只能是逆着自动人行道上行的方向运动。
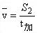
(3)因为自动人行道每小时运输的顾客和货物的总重力G=5.4×106N,提升高度的高度h=4.8m,所以自动人行道在1小时时间内对顾客和货物所做的功W=Gh。
设自动人行道的电动机的额定输入功率P,则1小时内自动人行道的电动机消耗的电能E=Pt。由

×100% 得

,.所以P=

= 9×103W。
点评:本题以大型超市内常见的自动人行道为命题载体,通过对自动人行道上人的运动的描述和自动人行道部分参数的介绍,考查了受力分析,相对运动,机械效率等知识及其应用。本题的难点一个是“额定运输能力”的正确理解,这一点题中的有所提示,根据提示可以正确理解“额定运输能力”的意思;另一个难点是顾客相对于自动人行道运动方向的判断,可用假设排除法来判断顾客的运动方向。
例7电动汽车越来越受到人们的青睐,电动版朗逸是大众汽车首款完全在中国开发的车型。它已在北京车展上和世人见面。朗逸电动车由安装在车头部位的电动机驱动,电动发动机的最大功率为85kW,持续输出功率是50kW;该车具有出色的动力表现,从静止加速到100km/h用时11s,运动路程为165m。电池系统是由锂离子电池单元组组成,容量为26.5kW·h,充满电连续行驶里程(60km/h等速状态下)为l50km;电池可以通过家用220V电源直接充电,充满电所需时间为6h。请根据以上信息,求:
(1)电池在家用电源下的充电电流;
(2)电动汽车充满电连续行驶的时间;
(3)电动汽车从静止加速到l00km/h的过程中的平均速度;
(4)在持续输出功率下,当电动汽车以l00km/h的速度匀速行驶时,电动机所提供的牵引力。
解析:(1)设电池系统的容量为W、家用电源(沟通电)电压为U、充电时间为

,由W=

得充电电流I=

=

=20.1A。
(2)设电动汽车充满电连续行驶里程(60km/h等速状态下)为S1 、连续行驶时间为

,等速行驶速度为v,则S1=150 km、v=60 km/h。由S1=v

得

=

=2.5h。
(3)设电动汽车从静止加速到l00km/h所用时间为

、运动路程为S2,则

=11s、S2=165m 。电动汽车从静止加速到l00km/h的过程中的平均速度

=

=15m/s。
(4)设持续输出功率为

,持续输出功率时行驶速度为v1 ,电动机所提供的牵引力为F,则

=50kW 、v1=l00km/h .由

=

得F=

=1800N。
点评:本题以电动汽车为命题载体,通过对电动汽车行驶状态的描述,考查了电功、电功率,速度、平均速度等知识及其应用。考查提取有用信息(数据)解题的能力。本题提供的数据繁多,但只要耐心作答,就会得到正确的结果。
三、测量仪表类
例8如图6所示是某电子秤的结构示意图,其中P是一个可以紧贴AB 滑动的金属滑片,S为自动控制开关。闭合开关S,秤盘内不放物体时,电子秤刻度表示数为0;在秤盘内放入物体时,就可以从电子秤刻度表上读出该物体的质量;当被测物体的质量超过电子秤量程时,开关S自动断开,电子秤无示数。则下列判断正确的是 ( )

A.电子秤的刻度表是一个电流表,它的示数越小说明所称物体质量越大
B.电子秤的刻度表是下个电压表,它的示数越大说明所称物体质量越大
C.电子秤的AB 部分是一个滑动变阻器,且A端为绝缘体
D.电子秤所称物体的质量越大;消耗的电能越少
解析:由电子秤的结构示意图可知,AB、电子称刻度表、R0串联在电路中。
电压表一般并联在电路中,电子称刻度表如果是电压表,由于电压表的内阻很大,当滑片P滑动时,电路中的电流变化很微小,刻度表的变化范围很小,不适合于做称量刻度表,所以电子称刻度表是电流表。故B错。
当电子秤所称物体的质量越大时,滑片P离B端越近,电路的总电阻变小,电路中的电流变大,电流标的示数变大。故A错。
设电源电压为U,电路中总电阻为R,则电路消耗的总功率P=

,当电子秤所称物体的质量越大时,R越小,P越大,电路消耗的电能越大。故D错。
当电子秤没有称量物体时,滑片P处在A端,如果A端是导体,电子秤在没有称量物体时,电路中会有较大的电流,这样电路会消耗较大的电能,所以A端是绝缘体。故C正确。
点评:本题以生活中的电子秤为命题载体,通过对电子秤使用方法的描述,考查了电路串联、电流表、电压表等电路知识,及利用所学知识分析解决实际问题的能力。
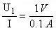
例9从2011年5月11日起,执行酒驾重罚新规定。交警使用的某型号酒精测试仪的工作原理相当于图7所示。电源电压恒为9V,传感器电阻R2的电阻值随酒精气体浓度的增大而减小,当酒精气体的浓度为0时,R2的电阻为80Ω。使用前要通过调零旋钮(即滑动变阻器R1的滑片)对测试仪进行调零,此时电压表的示数为8V。求:

(1)电压表的示数为8V时,电流表的示数为多少?
(2)电压表的示数为8V时,滑动变阻器R1的电阻值为多少?
(3)调零后,R1的电阻保持不变。某驾驶员对着测试仪吹气10s,若电流表的示数达到0.3A,表明驾驶员醉驾,此时电压表的示数为多少?
解析:设电源电压为U,R1两端的电压为U1,R2两端的电压为U2,则U=9V。
(1)电压表的示数为8V时,R2的电阻为80Ω,由欧姆定律得电流标的示数I=

=

=0.1A
(2)电压表的示数为8V时,滑动变阻器R1两端的电压U1=U-U2=9V-8V=1V,由欧姆定律得滑动变阻器R1的电阻值R1=

=10Ω .
(3)调零后的R1阻值应为10Ω,设此时电流标的示数为I1,则I1=0.3A,由欧姆定律得此时电压表的示数U2=U-I1 R1=9V-0.3×10Ω=6V
点评:本题以酒精测试仪为命题载体,通过对测试仪的工作原理的介绍,考查了电流表、电压表、滑动变阻器、绝缘体、欧姆定律的知识及其应用,同时渗透了对酒后驾驶这一违章现象的考查。
******************
想让你的孩子在考试中出类拔萃、脱颖而出吗?
中小学全科公众号:ch_xuexiao
中小学数学公众号 : hhhtshuxue