作者: 云在青天

简介
丙型肝炎(丙肝)是由丙型肝炎病毒(Hepatitis C Virus,HCV)引起的一种肝脏疾病。该病毒可造成急性或慢性肝炎,其严重程度从持续几周的轻微病症到终身严重疾病不等。急性丙肝病毒感染通常没有症状,且仅在十分罕见情况下才会导致危及生命的疾病,约有15%-45%的感染者不经任何治疗即可在感染6个月之内自行清除病毒。其余55%–85%的感染者会发生慢性丙肝病毒感染。在这些慢性丙肝病毒感染者中,20年内出现肝硬化的危险为15%–30%。全球预计有7100万人受到慢性丙肝感染。90年代中期,学界和产业界为开发丙肝病毒蛋白酶*制剂抑**付出了大量的努力。然而,这项任务遭遇了很多具有挑战性的障碍:①丙型肝炎病毒生命周期尚未完全确定;②缺乏细胞评价模型和验证HCV蛋白酶*制剂抑**作用机制的方法;③缺乏临床前药物评价的动物模型。十几年来,用来发现和开发HCV治疗药物的必要工具发展了起来。
与其他慢性病毒性感染(如乙型肝炎病毒或艾滋病毒)不同,丙型肝炎治疗后能很好地清除复制期HCV并控制肝损伤的进展。HCV治疗最初依赖于免疫刺激干扰素-α (IFN-α),随后通过在每日的剂量中加入核苷类似物利巴韦林并结合聚乙二醇干扰素-α (PEG-IFN-α)来改善治疗,从而减少了蛋白质的给药频率,变为每周皮下注射一次。这种治疗组合提高了持续病毒学应答(SVR),当仅用IFN-α治疗时,SVR<20%,而用最优化组合治疗时SVR达到40 – 55%。
1989年,HCV的分子克隆帮助阐明了基因结构和参与复制的关键酶的特性,使有效*制剂抑**的确认达到新阶段。HCV最初是通过重组技术从受感染者血清中得到的多肽,继而用非甲非乙肝炎患者血清对其检测而鉴定出。这一方法促使人们分离出HCV基因组片段,之后,完整的HCV基因组被测序鉴定。
HCV属于黄病毒科家族中的一员,其基因组基因编码一条大约由3000多个氨基酸残基组成的多蛋白前体(polyprotein)。该多蛋白前体在宿主细胞中被剪切产生3个结构蛋白(protein core,E1和E2)和7个非结构蛋白(p7,NS2,NS3,NS4A,NS4B,NS5A和NS5B)。非结构性蛋白组装成多蛋白复制酶复合体,后者负责复制产生HCV RNA。丙型肝炎病毒生命周期中的最终步骤是将HCV RNA包装并成熟为感染性病毒,最终释放到血液中。
HCV非结构蛋白3 (NS3)是N末端181-氨基酸部分中具有催化丝氨酸蛋白酶结构域的631-氨基酸双功能蛋白,C-末端部分具有解旋酶结构域。NS3与NS4A(一种54-氨基酸辅因子)紧密结合,形成NS3·4A复合物。无论NS4A是否存在的情况下,对NS3催化结构域进行检查表明,NS4A深埋在NS3的核心,有助于组织酶的活性位点。天然NS3·4A复合物的催化效率高于NS3蛋白酶N末端结构域一个数量级。NS3·4A蛋白酶负责NS4-NS4A,NS4A-NS4B,NS4B-NS5A和NS5A-NS5B之间的病毒多聚蛋白的切割,以释放HCV复制酶的组分,并且该酶已被证明是病毒复制所必需的。
因此,针对NS3·4A小分子*制剂抑**的药物发现已经成为制药行业极为关注的焦点。Vertex Pharmaceuticals于1997年与Eli Lilly合作,进入HCV药物开发领域,利用Vertex Pharmaceuticals在基于结构的药物设计中的核心实力,解决了该疾病的高度未满足的医疗需求。
发现
Vertex Pharmaceuticals在开始该项目的初期,决定寻找优先分布到肝脏的化合物,因为该器官是身体发生HCV复制的主要部位。由于缺乏高通量筛选工作的苗头化合物,Vertex Pharmaceuticals决定将衍生自NS3·4A蛋白酶的天然NS5A-NS5B底物十肽1 (Ki = 0.89uM)用于*制剂抑**优化的起始点。该十肽跨越酶结合位点的S6至S4'位点。
早期的工作集中在寻找能提供足够结合亲和力的最佳*制剂抑**大小和分子量范围。对底物的截断研究表明,去除P4'氨基酸导致显著的活性损失,但是在P2'和P3'处的截断对酶亲和力几乎没有负面影响。此外,除去P5和P6上的酸性残基导致显著的活性损失。此外,P3和P4疏水性残基的去除也会造成酶亲和力的下降。这表明,在这些位点处的酶和*制剂抑**之间产生疏水相互作用。

学界对通过共价可逆*制剂抑**抑制丝氨酸蛋白酶如HCV蛋白酶展开了大量研究。通过丝氨酸残基与*制剂抑**C末端亲电子部分形成可逆共价键,得到的酶*制剂抑**复合物是模拟酰胺键水解的过渡状态四面体中间体,并且通过几种离子相互作用而稳定。因此,共价可逆*制剂抑**已显示出比依赖于离子相互作用的*制剂抑**更有效,研究人员决定寻找跨越S4至S1'位点的共价可逆*制剂抑**。最初,研究人员决定选择醛类*能官**团为替代物,如六肽醛2 (Ki =0.89μM)。将杂环化合物代替P6和P5残基,得到的四肽醛3 (Ki =12μM)作为进一步优化的起点。
随后,研究人员对四肽醛的几个区域依次或平行进行优化。早期优化集中在P2残基上,对疏水部分的优化可能导致*制剂抑**亲和力的增加。由于原料4-羟基脯氨酸可以大批量的购买,Vertex Pharmaceuticals制备了脯氨酸4位是醚,酯和氨基甲酸酯取代的化合物,如4 ,5和6。然而,这些化合物都太容易水解。

由于醛类结构在药物中表现不佳,并且在体内容易氧化成羧酸,研究人员试图对此进行优化。在尝试了许多通常用于丝氨酸蛋白酶*制剂抑**的结构(如羧酸,三氟甲基酮,氯甲基酮等),均没有成功。最终发现,α-酮酰胺替换醛类结构,可以使其亲和力提高了40倍。通过在侧链引入羧基可以获得更好的亲和力(如8,Ki = 26nM)。小的脂族基团如环丙基(9)在酶和细胞试验中也显示出令人鼓舞的活性。可能是由于羧基的带电特性,阻止细胞膜渗透,化合物8在复制子测定试验(the replicon assay)中没有表现出活性。

Vertex Pharmaceuticals对四氢异喹啉基(THIQ)氨基甲酸酯脯氨酸α-酮酰胺亚类的优化花费了相当多的精力和时间,制备了超过300种化合物。然而,大多数化合物显示出较差的药代动力学(PK)性质,并且在小鼠中单次口服给药时观察到较低的肝和血浆暴露,可能是因为P2残基的大尺寸而具有差的物理化学性质。此时,研究人员对化合物10的晶体结构复查,认为在脯氨酸基的α面上3位具有1至4个碳取代基可导致酶活性位点中假定的水分子发生置换,从而改善结合亲和力。为检验这个推论,研究人员制备了化合物11并显示出较好的活性(Ki = 1.4μM)。随后的晶体结构验证了水分子置换假说,研究人员对具有该取代模式的P2展开了进一步的探索。此外,基于3-烷基脯氨酸*制剂抑**显示较好的PK性质,在小鼠中单次口服给药后导致肝脏暴露显著改善,为进一步优化提供了动力。将甲基取代基延伸至乙基,最终演化得到双环酮14 (Ki = 40nM)。将酮类结构还原成双环碳环,加上在P1',P1,P3和P4的进一步优化,研究人员发现了特拉匹韦(telaprevir)。基于其活性和在啮齿动物中良好的肝脏暴露,选择特拉匹韦进行下一步的研究。

由于这些化合物的分子量较高和水溶性较低,肽模拟物的药代动力学可能不理想。如下表所示,试验数据显示,对大鼠和犬静脉给药,特拉匹韦(telaprevir)具有较高的清除率,但组织分布良好,并具有很好的口服暴露量。

丙型肝炎是肝脏的一种疾病,大多数HCV复制发生在肝脏,所以,选择HCV蛋白酶*制剂抑**作为临床前候选者的标准之一是其分配到肝脏的能力。与其他近似类似物相比,特拉匹韦(telaprevir)的表现特别好。对于特拉匹韦(telaprevir),在施用单次30mg / kg口服剂量后,在8小时的时间过程中,大鼠的平均肝-血浆比被确定为35。在该剂量下,肝脏中的特拉匹韦(telaprevir)暴露约为14μM,比复制子细胞(replicon cells)中48小时的IC50高30倍。特拉匹韦(telaprevir)在小鼠模型中也具有类似的肝脏分布。这是选择特拉匹韦(telaprevir)作为临床候选药物的关键因素。

特拉匹韦(telaprevir)和NS3·4A复合物的X射线晶体结构已经解析出来。特拉匹韦(telaprevir)与丙肝病毒NS3·4A蛋白酶通过Ser139羟基与特拉匹韦(telaprevir)酰胺之间的可逆共价键形成一个紧密的复合物。此外,氨基酸Gly137和Ser139的NH与的特拉匹韦(telaprevir)酰胺羰基之间形成两个氢键。特拉匹韦(telaprevir)和蛋白酶骨架形成氢键,如P1的NH和Arg155的羰基氧,P3羰基氧与Ala157的NH,P3的NH与Ala157的羰基氧和吡嗪的羰基与Ser159的OH和NH之间。

合成
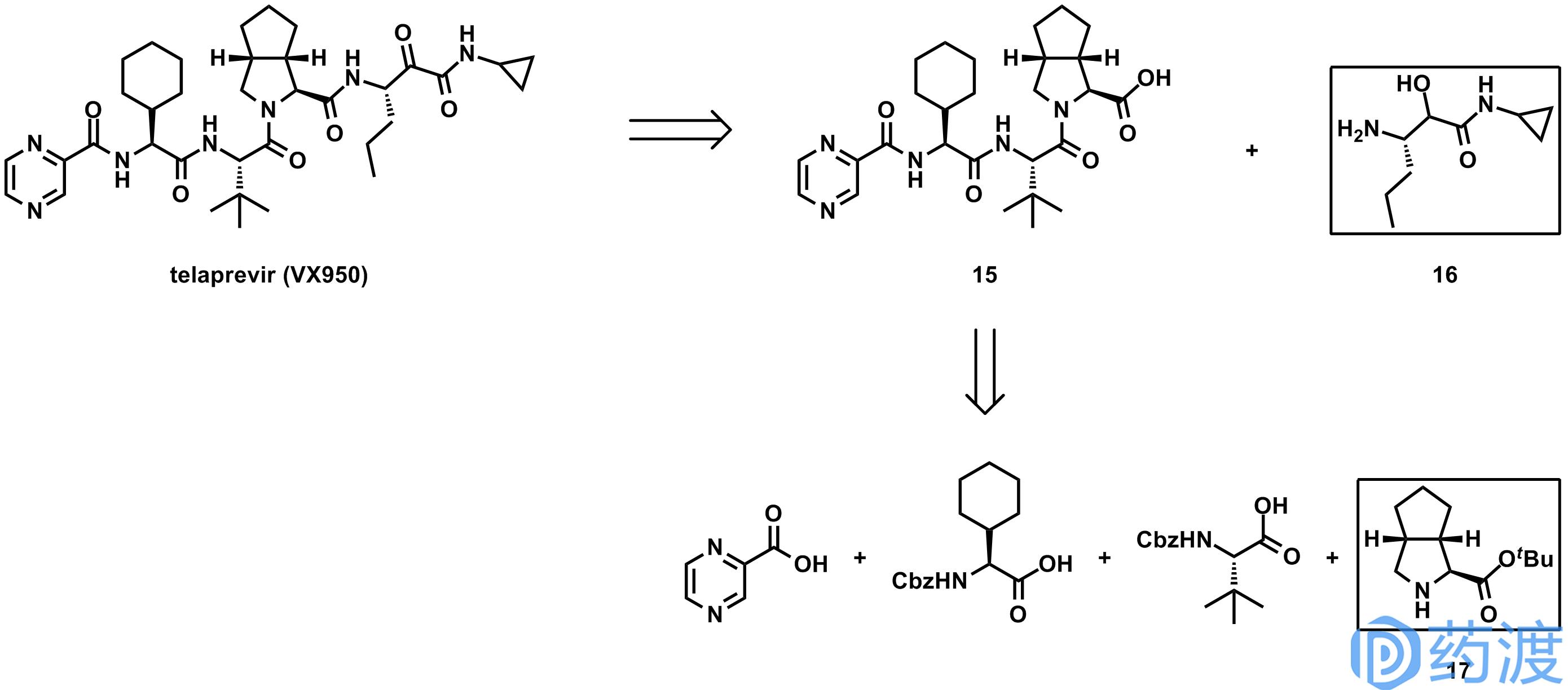
特拉匹韦(telaprevir)的逆合成如下图所示,P1和P2之间首先断开产生16和三肽15,三肽15由关键的双环P2支架17和叔丁基甘氨酸P3,环己基甘氨酸P4和2-吡嗪羧酸合成得到,以使合成期间氨基酸立体中心的差向异构化能达到最小化。

化合物16有多种制备方法,但是以下两条路线能有效的减少合成步骤和保持其对映异构体纯度。路线1A是α-氨基醛与异氰通过Passerini反应,脱Cbz后得到化合物16;路线1B则是通过α-氨基酸增碳后得到关键中间体19,酰化后得到化合物16。不过路线1A中使用了易挥发的有毒物质异氰18,不适合工业放大。

化合物17的合成是特拉匹韦(telaprevir)制备方法中的难点,有三种制备方法。第一种合成方法是通过从噻唑鎓叶立德20与2-环戊烯酮的环加成得到四环非对映异构体21,脱保护后得到22,对其手性拆分,随后酮羰基还原和脱保护基,最终得到关键的化合物17,并可以达到百克级的制备。

由于第一条合成路线较长,使用有毒的锡试剂以及手性拆分,不适合进一步放大。为此研究人员开发了一种改进的六步合成路线,以规避手性拆分步骤,并使得能够生产近100kg的化合物17。(1S)-(-)樟脑和叔丁基甘氨酸酯得到亚胺23,亚胺23与环戊烯甲酸甲酯24通过Michael加成,得到作为单一非对映异构体的迈克尔加合物25。亚胺25水解,环化产生内酰胺酯26,随后Boc保护,内酰胺还原和脱保护得到双环脯氨酸17。

为了避免一些昂贵的非天然樟脑手性助剂及其回收,研究人员开发了第三条路线,用于大规模反应生产的P2合成物19(>100公斤)。采用非常廉价的3-氮杂双环[3.3.0]辛烷盐酸盐27作为原料,经Boc保护,碱拔氢后,在平衡条件下用二氧化碳捕获阴离子,然后很好的非对映选择性产生所需的外消旋体29。29通过与光学活性碱(S)-1,2,3,4-四氢-1-萘基铵盐形成以高产率和高对映异构体形成盐30,中和,酯化后得到双环脯氨酸17。

关键中间体16和17的大量制备为特拉匹韦(telaprevir)的生产打下了坚实的基础。Cbz保护的叔丁基甘氨酸与双环脯氨酸酯17在标准条件下反应得到二肽31。脱去保护基后,与Cbz保护的环己基甘氨酸偶联得到三肽32。对32进行脱保护,然后与吡嗪羧酸的偶联得到三肽酸前体15。使用N-甲基吗啉作为碱,16和三肽15反应得到羟基酰胺前体33。化合物33经Dess-Martin氧化,以良好的产率得到特拉匹韦(telaprevir)。

总结
毋庸置疑,特拉匹韦(telaprevir)的成功开发主要依赖于对疾病相关酶靶标以及其酶家族结构的认识和解析。随着技术的日益进步和人类对疾病机制以及蛋白结构等知识的不断增长,基于结构的设计策略在药物研发领域,尤其是先导化合物和药物设计过程中得到更广泛的应用。
2014年8月Vertex正式宣布,因销量持续下滑以及丙肝药物市场的激烈竞争,自2014年10月16日起,该公司不再继续在美国市场销售该药物。虽然特拉匹韦(telaprevir)已经撤市,但其研发历程对后续药物的开发有着重要的借鉴作用。
参考文献
Bioorg. Med. Chem. Lett.2003, 13, 4059–4063.
Bioorg. Med. Chem. Lett. 2004, 14, 1441–1446.
Bioorg. Med. Chem. Lett.2004, 14, 1939–1942.
Bioorg. Med. Chem. Lett.2004, 14, 251–256.
J. Biol. Chem. 2004, 279, 17508–17514.
J. Biol. Chem. 2005, 280, 36784–36791.
J. Med. Chem. 1994, 37, 2918–2929.
Lett. Drug Des. Discov.2005, 2, 497–502.
Curr. Opin. Pharmacol.2008, 8, 522–531.
WO2007/022459A2.