应用数学思想是生活中解决问题过程当中非常重要的一种思维方式以及研究方法。所谓"应用数学过程"是指:搜集实验、观测资料→建立数学模型→发明数学工具或沿用已有方法解决模型中的问题→验证所得到的结果→总结出普遍规律。

人们在实施应用数学过程中所出现的问题主要有:
1.没有充分掌握所研究的问题的数据。
2.对于作沿用的数学模型不了解其源头。
3.不善于独立建模。
4. 不重视结果的验证。
5.不重视总结规律。
在这个过程中,如何建立模型,就显得比较重要。需要关注的是,模型不是对现实系统的简单的复制和模拟,而是经过对现实现象进行分析、提炼、归纳、升华的结果,是以数学语言来正确地描绘现实对象的基本内在特征,从而通过数学上的演绎推理和分析,运用解析、实验(保持相似律成立)或数值求解。
其实说简单一点,就是把握问题的内在本质。

例如手表的功能越来越多。可作秒表、闹表,可显示世界时,可测体温、血压、脉搏,可作医疗工具,可作小型计算器,真是花样翻新,层出不穷。可是,单就计时这个最原始的功能来说,我们还远没有加以充分利用。
比如说,要估算井水水位深度,根本不需要找绳子试深。拣一个小石子,让它自己落下去,用手表记下所需时间t,就可以根据自由落体运动公式h=1/2gt²(g=9.8米/秒2),算出水位离地面多远。要是测得t=2秒,那水位深h=19.6米。
手表还可用来估算飞奔着的列车的长度。先认定铁道旁两根电线杆A和B作为标志,站得离铁道远一点,记下火车头刚到达A杆位置的时刻t₁;车尾刚离开A杆位置的时刻t₂;车尾离开B杆位置的时刻t₃。因为电杆A、B之间的距离L,事后总有办法测出来,所以可以看成已知数。
因为在t₂-t₁;的时间间隔里,列车走过的距离恰好等于列车的长度l。
所以,l=v(t₂-t₁)……(1)

火车的速度v不知道。在t3-t2的时间间隔里,列车走过的距离是L,

在这个等式里,只要量出L的长,便可算出火车长!了。
丈量L的方法,最方便的是用步数来估算。要是有一辆自行车,那就更好了。28英寸自行车的外轮直径D=0.71米,周长D=2.23米。你把车子从A杆顺直线方向慢慢推到B杆位置,记下气门嘴一共走了多少圈,例如走了25 1/4圈,得L=2.23×25 1/4=56.3(米)。
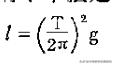
要是你不知道自己一步走多少,又没有带自行车,不要紧,手表又可以为你效劳。物理学中有个单摆定律,单摆的周期T与单摆的长度l的关系是

(g=9.8米/秒)。
取一根细绳,一头悬在手指上,一头缚一块小石子,让它来回摆动,用手表记下每来回摆动一次的时间间隔T,随后便可根据公式算出1了。要是测得T=2秒,得l=0.99米。接着,用l去度量A、B之间的距离L。
这样测量L的方法,道理无可非议,可是误差可能很大,倒不如用一根身长的棍,作为单位长度去量L了。

在运动着的火车里,手表也是一件得心应手的测算工具。当列车笔直行驶时,路侧远处的可见建筑物,都可以用手表计时,测出它到铁道的垂直距离。
如图,要估计电视塔S与铁道线的垂直距离SD。
你预先把眼睛放在与车窗两边上的B₁、C₁,两点成正三角形的位置A₁,等到A₁、B₁、S成一直线时,用手表记下时刻t₁。火车以等速度v从左向右运动,等到A₁、B₁、C₁三点到了A₂、B₂、C₂位置,记下A₂、C₂、S成一直线的时刻t2。这样,

∵∠A₁B₁C₁=∠SA₁A₂,
∵∠A₂C₂B₂=∠SA₂A₁;∴.△A₁BC₂△A₁SA₂。
∵△A₁SA₂是正三角形;∴SD=√3/2 A₁A₂。
于是,知道A₁A₂后,便可算出SD。
A₁A₂是火车从t时刻到t2时刻走过的直线路程,得A₁A₂=v(t₂-t₁)。
火车的速度v,可以根据火车走过两个里程碑之间的时间来确定。这又需要用手表来测算了。
当然,眼睛与车窗两侧的两点成任意三角形;或者假设火车静止不动、电视塔以火车速度作相对运动,也一样能测算出电视塔与铁路的垂直距离。


通过上述手表特殊应用案例,我们不难体会数学思维在求解实际问题应用魅力。
能够体会数学思维特点,这是一种抽象思想,从具体到抽象,从无序到有序,这是一种推理思想;从经验到模型,这是一种模型思想。抽象、推理、模型,也被称为数学的三大基本思想,它们完美诠释了数学的一般性、严谨性和应用性。
数学思维可以帮助我们成为什么样的人呢?我用三句话来总结:
从具体到抽象,帮助你在错综复杂的事物中把握本质;
从无序到有序,帮助你在杂乱无章的事物中理清头绪;
从经验到模型,帮助你在千头万绪的事物中发现规律。
数学是完美的,完美到抽离现实。原存在于数学中,生活中踏破铁鞋,也无法寻觅到如此完美的形状。数学的世界,是一个与我们的生活相平行的理想世界。
数学是极致的,极致到精准刻画。神话学大师约瑟夫·坎贝尔说:精准是对实力最狂妄的表达。数学是人类的精神导师,当我们身处于生活的不确定性时,在那个平行世界中,数学总能给你一个精准的答案。