没有应用数学,只有数学的应用。概率论作为数学的一个重要分支,成功的让许多人望而却步。其实日常生活中有很多概率论的实际应用。想不想让随机迷茫的人生变得明朗可控?带着具体问题出发,让好奇心战胜恐惧感,尽情感受数学之美吧。

美国发动诺曼底登陆时,作战部队在加莱滩头遭到德军炮弹如外科手术般的精确打击。鉴于德国宣称掌握了导弹技术,盟军统帅们非常担心,可能因此造成部队重大伤亡,导致诺曼底登陆失败。这时数学家发挥了关键作用,断定德军并没有掌握导弹技术,后续实战也验证了这一点。他们如何做到的呢?答案就隐藏在德军的*弹炸**落点中。

*弹炸**落点分布示意图
1944年6月至1945年3月,纳粹德国隔着英吉利海峡轰炸英国。共发射了9,251枚V1飞弹,其中只有2,419枚打在了期望的目标区域,这其中有537枚落在伦敦南部。数学家们把这个区域划分成24x24个正方形,每个边长500米。统计方格被击中的情况如下:
-
229个方格没被*弹炸**击中
-
211个方格被击中1次
-
93个方格被击中2次
-
35个方格被击中3次
-
7个方格被击中4次
-
1个方格被击中5次以上(具体是7次)
看起来轰炸还是挺集中的。现在要做的是,基于这些数据,分析出是精确打击还是碰运气的结果。概率论就派上用场了。如果是碰运气的结果,那么*弹炸**落点将服从泊松分布(Poisson Distribution)。我们只要评估实际情况跟泊松分布给出的理论结果是否足够相近即可。
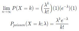
泊松分布用于描述在单位时间段/区域内,事件多次 发生的概率。泊松分布的形式是:
其中λ表示事件发生的平均次数,P(k)就是发生k次此事件的概率。拿轰炸来说,537枚*弹炸**落在24x24=576个方格中。每个方格平均落下537/576=0.932个*弹炸**。更明确的说,单位区域就是指一个方格,事件发生的平均次数就是每个方格平均被轰炸的次数(更准确的说是密度)。λ=0.932,就这一个参数就够了。现在只要把k代入泊松分布就行啦,可以看出预测值与真实值非常接近。

为什么实际结果跟泊松分布的预测相近,就能说明德军的*弹炸**是乱扔一气而不是瞄准轰炸呢?这就得探寻泊松分布的本质了。简单说来就是因为,它所描述的过程跟扔硬币没什么两样。
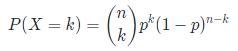
考虑经典的扔硬币问题。现有一个硬币(不一定是对称),平均看来,正面出现的概率是p,反面出现的概率是1-p。那么扔这个硬币n次,其中有k次获得正面的概率是:

这就是标准的二项分布(Binomial Distribution)。从描述就可以看出,其非常常见且有用。不仅限于扔硬币,任何以固定的概率产生两种不同结果的事情都行。公式也非常直观:
-
根据乘法原理,第二项表示选定的 k 次实验都获得正面的概率
-
根据乘法原理,第三项表示选定的 n-k 次实验都获得反面的概率
-
根据加法原理,第一项表示 n 次实验中挑出 k 次实验的所有组合的个数
其实如果只扔一次硬币,二项分布就退化成了更简单的伯努利分布(Bernoulli Distribution)。
还拿轰炸伦敦来说,也可以用二项分布来描述。以每次投弹作为一次实验,每个参数对应于:
-
每个*弹炸**会随机砸中 576 个方格中的一个,p=1/576
-
总共投了 n=537 次
-
k 就是一个方格被轰炸的次数

可以看出,这张表跟用泊松分布得出的结果相差无几。此时已经可以得出德军的*弹炸**是乱扔一气的结论了,因为跟扔硬币猜正反面没什么区别嘛~ 虽然看上去*弹炸**落点挺集中的,但这只是随机过程给人的幻觉而已。
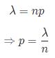
下面就要看看为什么泊松分布会和二项分布这么接近了。简单说来,前者只是后者的极限情况而已。考虑:
-
德国扔的不只是537枚*弹炸**,而是无数枚*弹炸**,即n无限大
-
投弹的地点也不限于这576个方格,而是无数个方格,即p无限小
-
轰炸的密度是固定的,即 λ=n*p 是个常数(不为0)
那么整个过程看起来就像是在一大张白纸上点黑点:
-
白纸无限大
-
黑点无限小
-
只知道单位面积的白纸上黑点的平均数目 λ
-
每个黑点的位置都是独立的,不会受其他黑点的影响
这就是泊松分布的本质了。所以我们只要对二项分布取极限,就应该能够推导出泊松分布来。下面就来验证这一点。
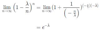
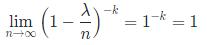
由已知,

把p代入二项分布,令n趋向于无穷大,并提出常系数到极限运算外,得到,

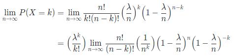
看着一大片符号,其实都是纸老虎,因为明显有很多分子分母是可以消去的。先处理极限运算后的前两项乘积,

再处理第三项(这里用到了自然对数的定义,跟理财的复利计息有关,是另外的话题了),

最后处理第四项,

把结果汇总一下,

就得到了非常简洁的泊松分布了。用泊松分布来计算轰炸问题很容易,因为比二项分布少了许多乘法运算。我估计是因为二战时没有现在这么好的计算机,算不了二项分布,所以用泊松分布来作为近似,也是个很巧妙的折衷了。毕竟对轰炸问题的参数,二者结果相差无几。
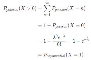
同样的道理可以把白纸的空间换成时间,把黑点换成某个瞬时事件的发生,把 λ 换成事件发生的平均频率。这样就能在时间域上应用泊松分布了。记得在 [生活概率论-1] 中计算了指定时间段内有公交车进站的概率,用泊松分布也可以计算。
单位时间段内有公交进站的概率,应该等于此时间窗口内,进站1辆、2辆、3辆...无数辆公交车的概率之和,也就是除了0辆车之外的一切情况:

这下指数分布和泊松分布也挂上钩了,二者描述的是一回事儿,只是说法不同,λ的含义完全一样。
【引文】
-
[Deriving the Poisson Distribution from the Binomial Distribution](https://medium.com/@andrew.chamberlain/deriving-the-poisson-distribution-from-the-binomial-distribution-840cc1668239)
-
[WWII London bombings. Poisson distribution problem.](https://math.stackexchange.com/questions/1545167/wwii-london-bombings-poisson-distribution-problem)
-
[χ2 Goodness of Fit Test of V2 Bomb Hits ](http://keepingupwiththequants.weebly.com/bomb-hits.html)
-
[Deriving the exponential distribution](http://www.clayford.net/statistics/deriving-the-exponential-distribution/)
-
[Bomb Sight](http://bombsight.org)