圆周率日(π节)是庆祝圆周率π的特别日子。正式日期是3月14日,由圆周率最常用的近似值3.14而来。全球各地的一些大学数学系在这天举办派对。


圆周率π是圆的周长与直径的比值,一般用希腊字母π表示,是一个在数学及物理学中普遍存在的数学常数。π也等于圆形之面积与半径平方之比。是精确计算圆周长、圆面积、球体积等几何形状的关键值。
圆周长公式 C = 2πr = πd

古巴比伦石匾(约产于公元前1900年至1600年)清楚地记载了圆周率 = 25/8 = 3.125。
同一时期的古埃及*物文**,莱因德数学纸草书也表明圆周率等于分数16/9的平方,约等于3.1605。
公元前800至600年成文的古印度宗教巨著《百道梵书》显示了圆周率等于分数339/108,约等于3.139。
古希腊大数学家阿基米德(公元前287–212 年) 求出圆周率的下界和上界分别为223/71 和22/7。

中国古算书《周髀算经》(约公元前2世纪)的中有“径一而周三”的记载,意即取
π=3 。
汉朝时,张衡得出

,即

(约为3.162)。这个值不太准确,但它简单易理解。
中国数学家刘徽用“割圆术”

计算出圆周率

公元480年左右,南北朝时期的数学家祖冲之

进一步得出精确到小数点后7位的结果,给出不足近似值3.1415926和过剩近似值3.1415927,还得到两个近似分数值,密率

和约率

。密率是个很好的分数近似值,要取到

才能得出比

略准确的近似。
在之后的800年里祖冲之计算出的π值都是最准确的。其中的密率在西方直到1573年才由德国人奥托(Valentinus Otho)得到,1625年发表于荷兰工程师安托尼斯(Metius)的著作中,欧洲称之为Metius’ number。
阿拉伯数学家卡西在15世纪初求得圆周率17位精确小数值,打破祖冲之保持近千年的纪录。德国数学家鲁道夫·范·科伊伦(Ludolph van Ceulen)于1596年将π值算到20位小数值,后投入毕生精力,于1610年算到小数后35位数,该数值被用他的名字称为鲁道夫数。
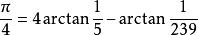
1706年梅钦计算π值突破100位小数大关,他利用了如下公式:

其中arctan x可由泰勒级数算出。类似方法称为“梅钦类公式”。
斯洛文尼亚数学家Jurij Vega于1789年得出π的小数点后首140位,其中只有137位是正确的。这个世界纪录维持了五十年。他利用了梅钦于1706年提出的数式。
到1948年英国的弗格森(D. F. Ferguson)和美国的伦奇共同发表了π的808位小数值,成为人工计算圆周率值的最高纪录。







